© 2012 Human Rights Watch

Sex Workers at Risk

Condoms as Evidence of Prostitution in Four US Cities

© 2012 Human Rights Watch

Sex Workers at Risk

Condoms as Evidence of Prostitution in Four US Cities

Summary
Key Recommendations
To the Police Departments and District Attorneys of New York City, Washington, DC, Los Angeles, and San Francisco
To the Legislatures of New York State and California and the District of Columbia Council
To the United States Government
Methodology
Background
Findings: Condoms as Evidence of Prostitution in Four US Cities
New York City
HIV in New York City
Anti-Prostitution Enforcement in New York City
Condoms as Evidence of Prostitution
Immigration Consequences of Arrest for Prostitution
Fear of Carrying Condoms as a Result of Police Action
Police Abuse, Harassment, and Misconduct
Response of New York City Public Officials
Washington, DC
HIV in Washington, DC
Anti-Prostitution Enforcement in Washington, DC
Condoms as Evidence of Prostitution
Abuse of Transgender Women by Police
Response of Washington, DC Public Officials
Los Angeles
HIV in Los Angeles
A History of Police Abuse of Transgender People in Los Angeles
Condoms as Evidence of Prostitution
Immigration Consequences of Arrest for Prostitution
Fear of Carrying Condoms as a Result of Police Action
Police Abuse, Harassment, and Misconduct
Response of Los Angeles Public Officials
San Francisco
HIV in San Francisco
Condoms Barred As Evidence of Prostitution in 1994
Anti-Prostitution Enforcement in San Francisco
Condoms as Evidence of Prostitution
Response of San Francisco Public Officials
Human Rights Obligations
Right to HIV Prevention and Access to Condoms
Right to Liberty and Security of the Person and Freedom from Arbitrary Detention
Right to be Free from Cruel, Inhuman, and Degrading Treatment or Punishment
Recommendations
New York
To the New York State Legislature
New York City
To the New York City Council
To the Mayor of New York City
To the New York City Police Department
To the District Attorneys for the City of New York
To the New York Department of Health and Mental Hygiene
Washington, DC
To the Council of the District of Columbia
To the Mayor of Washington, DC
To the Metropolitan Police Department
To the Department of Health of the District of Columbia
California
To the California State Legislature
To the California Alcoholic Beverage Control Board
Los Angeles
To the Los Angeles City Council
To the Mayor of Los Angeles
To the Los Angeles Police Department
To the City Attorney of Los Angeles
To the Los Angeles County Department of Public Health
San Francisco
To the Board of Supervisors of the City of San Francisco
To the Mayor of San Francisco
To the San Francisco Police Department
To the San Francisco District Attorney
To the San Francisco Department of Public Health
To the United States Government
To the United Nations
Acknowledgements
Appendix A. New York City Criminal Court Prostitution Complaint Forms
Appendix B. Letter from the Latino Commission on AIDS to the NYPD
Appendix C. San Francisco Resolution Re: Condoms as Evidence of Prostitution
Appendix D. San Francisco Criminal Court Prostitution Complaint Form

Summary

If I took a lot of condoms, they would arrest me. If I took a few or only one, I would run out and not be able to protect myself. How many times have I had unprotected sex because I was afraid of carrying condoms? Many times. –Anastasia L., sex worker, New York City, March 22, 2012

Felicia C. is a sex worker in the Columbia Heights neighborhood of Washington, DC. When Human Rights Watch met Felicia, it was 2 a.m. on a cold and windy morning. Felicia ran over to an outreach van to get a warm cup of coffee from the volunteers. She took the “bad date” sheet that warns of recent attacks on sex workers, and was offered some condoms. She would not take more than two. When asked why, she said she was afraid to be harassed by the police. She said that a month earlier, she had been stopped and questioned by police and told to throw her condoms into the garbage. She said she’d held her ground and refused, but she didn’t want to be harassed again.

Felicia’s story is not unique. In four of the nation’s major cities—New York, Washington, DC, Los Angeles, and San Francisco—police stop, search, and arrest sex workers using condoms as evidence to support prostitution charges. For many sex workers, particularly transgender women, arrest means facing degrading treatment and abuse at the hands of the police. For immigrants, arrest for prostitution offenses can mean detention and removal from the United States. Some women told Human Rights Watch that they continued to carry condoms despite the harsh consequences. For others, fear of arrest overwhelmed their need to protect themselves from HIV, other sexually transmitted diseases and pregnancy.

Alexa L., a New York City sex worker, said, “I use condoms. I take a lot of care of myself. But I have not used them before because I was afraid of carrying them. I am very worried about my health.” Carol F., a sex worker in Los Angeles who had been arrested partly on the basis of carrying condoms, had a similar story: “After the arrest, I was always scared…There were times when I didn’t have a condom when I needed one, and I used a plastic bag.”

Prostitution—the exchange of sex for money or other consideration—is illegal in 49 states and in all of the cities addressed in this report. Law enforcement agencies in these jurisdictions are charged with enforcing laws, including those relating to prostitution. Enforcement, however, must be compatible with international human rights law and governments should ensure that police policies and practices do not conflict with equally important public health policy imperatives, including those designed to curb the HIV epidemic.

Police stops and searches for condoms are often a result of profiling, a practice of targeting individuals as suspected offenders for who they are, what they are wearing and where they are standing, rather than on the basis of any observed illegal activity. In New York, Washington, DC, and Los Angeles, many people, particularly members of the transgender community, told Human Rights Watch they were stopped and searched for condoms while walking home from school, going to the grocery store, and waiting for the bus. Vague loitering laws invite interference with the right to liberty and security of the person, permitting police to consider a wide range of behavior and other factors suspicious, including possession of condoms and being “known” as a sex worker. The anti-prostitution loitering laws in New York, California, and Washington, DC are inconsistent with human rights principles prohibiting detention or punishment based on identity or status and should be reformed or repealed.

Sex workers in New York, Washington, DC, and Los Angeles described abusive and unlawful police behavior ranging from verbal harassment to public humiliation to extortion for sex, both in and out of detention settings. Transgender women described being “defaced” by police who removed their wigs, threw them on the ground, and stepped on them. Police subjected transgender women to a constant barrage of vulgar insults, mockery, and disrespect. Most disturbing were reports in both New York and Los Angeles that some police regularly demanded sex in order to drop charges or coerced women into sex while in detention. Few of these women filed complaints, fearing further abuse and having lost faith in police to respond with fairness and integrity. Police officials in each of these cities should take action to increase accountability, restore community trust, and end an unacceptable cycle of impunity for human rights abuses against sex workers and transgender persons.

Human Rights Watch interviewed more than 300 persons for this report, which focuses on police use of condoms as evidence to enforce prostitution and sex trafficking laws, as part of an investigation into barriers to effective HIV prevention for sex workers in the four cities covered by this report. Those interviewed included nearly 200 sex workers and former sex workers as well as outreach workers, advocates, lawyers, police officers, district attorneys, and public health officials. In New York, Washington, DC, and Los Angeles our investigation focused on complaints of police using condoms as evidence while targeting sex workers on the street. In San Francisco, condoms were used as evidence for street enforcement to some extent, with police photographing rather than confiscating condoms, in what appeared to be a dubious nod to public health concerns. In San Francisco, much of the anti-prostitution enforcement using condoms as evidence targeted women working in businesses such as erotic dance clubs, massage businesses, and a nightclub with transgender clientele.

Police use of condoms as evidence of prostitution has the same effect everywhere: despite millions of dollars spent on promoting and distributing condoms as an effective method of HIV prevention, groups most at risk of infection—sex workers, transgender women, and lesbian, gay, bisexual, and transgender (LGBT) youth—are afraid to carry them and therefore engage in sex without protection as a result of police harassment. Outreach workers and businesses are unable to distribute condoms freely and without fear of harassment as well.

Sex workers and transgender women are highly vulnerable to HIV infection as a result of many factors including stigma, social and physical isolation, and economic deprivation. In San Francisco one of three transgender women has HIV; in Los Angeles the Department of Health has identified HIV prevention for transgender women as an “urgent” priority. It is not surprising that those on the front lines are confused about the message city governments are sending on condom use. Maria, a sex worker in Los Angeles asked, “Why is the city giving me condoms when I can’t carry them without going to jail?” Ironically, if Maria went to jail in Los Angeles or any of the cities addressed in this report she could get a condom, as condoms are available in detention settings for prevention of HIV and other sexually transmitted diseases.

Police and prosecutors defended the use of condoms as evidence necessary to enforce prostitution and sex trafficking laws. However, the use of any type of evidence must be determined by weighing the potential harm that occurs from its use and the benefits provided. In legal systems everywhere, categories of potentially relevant evidence are excluded as a matter of public policy, with laws excluding testimony regarding a rape victim’s sexual history providing but one of many examples. Law enforcement efforts should not interfere with the right of anyone, including sex workers, to protect their health. The value of condoms for HIV and disease prevention far outweighs any utility in enforcement of anti-prostitution laws.

In the summer of 2012, Washington, DC will be hosting the 19th International AIDS Conference. As more than 30,000 delegates from all over the world converge on the nation’s capital, the US response to the epidemic will be in the spotlight. This is an extraordinary opportunity for the city of Washington, DC as well as the cities of New York, Los Angeles, and San Francisco to enact policies that protect those at risk of HIV and to eliminate those that undermine HIV prevention such as the use of condoms as evidence of prostitution.

Strong federal leadership is also needed. The US government provides millions of dollars of funding to each city addressed in this report to prevent HIV among groups at high risk of HIV infection. Condoms as evidence of prostitution should be identified as a barrier to implementing the National HIV/AIDS Strategy and federal, state, and municipal agencies should work together toward its elimination. Most importantly, the US recently pledged at the United Nations Human Rights Council to protect the human rights of sex workers, a commitment that should begin without delay. A critical step towards meeting this obligation would be to call for the end to the use of condoms as evidence of prostitution, a policy that endangers the health and lives of sex workers, transgender persons, LGBT youth, and all members of the community.

Key Recommendations

To the Police Departments and District Attorneys of New York City, Washington, DC, Los Angeles, and San Francisco

  • Immediately cease using the possession of condoms as evidence to arrest, question, or detain persons suspected of sex work, or to support prosecution of prostitution and related offenses. Issue a directive to all officers emphasizing the public health importance of condoms for HIV prevention and sexual and reproductive health. Ensure that officers are regularly trained on this protocol and held accountable for any transgressions.

To the Legislatures of New York State and California and the District of Columbia Council

  • Enact legislation prohibiting the possession of condoms as evidence of prostitution and related offenses.
  • Reform or repeal overly broad laws prohibiting loitering for purposes of prostitution as incompatible with human rights and US constitutional standards.

To the United States Government

  • The Office of National AIDS Policy and the federal agencies charged with implementing the National HIV/AIDS Strategy should:
    • Recognize that human rights abuses such as interference with a means of HIV prevention are significant barriers to reducing HIV among sex workers, transgender persons, LGBT youth, and other vulnerable groups and prioritize structural interventions to address those abuses;
    • Ensure the inclusion of sex workers and transgender women in the efforts of the Working Group on the Intersection of HIV/AIDS, Violence against Women and Girls, and Gender-related Health Disparities;
    • Ensure that HIV research and surveillance data adequately reflects the impact of HIV on sex workers and transgender persons;
    • Call upon states to prohibit the use of condoms as evidence of prostitution and related offenses, and develop a plan to provide guidance, technical assistance, and model legislation to accomplish this objective.
  • The Department of Justice should investigate the treatment by police of sex workers and transgender persons in New York City, Washington, DC, and Los Angeles. The Department should provide ongoing review, enforcement and oversight to ensure that policies and practices comply with human rights and US constitutional standards.

Methodology

This report is based on research conducted in New York, Washington, DC, San Francisco, and Los Angeles by a five-member team from the Health and Human Rights Division of Human Rights Watch between October 2011 and July 2012. Research began with inquiries to sex worker organizations and sex worker advocates, transgender, harm reduction, and HIV advocates, and public defenders in more than 15 cities throughout the United States about whether police or prosecutors were using condoms as evidence of prostitution. From this preliminary investigation New York, Washington, DC, Los Angeles, and San Francisco emerged as cities consistently reporting the use of condoms as evidence of prostitution.

Human Rights Watch interviewed an estimated 197 current and former sex workers for the report, including 77 in New York and 40 in each of the other cities. Interviews were conducted both individually and in groups, in a variety of settings that included the offices of nongovernmental organizations (NGOs) working with sex workers, outdoors as part of street outreach shifts, in restaurants and other public spaces, in the offices of Human Rights Watch, and on the telephone. It is difficult to ascertain an exact number of sex workers interviewed in the course of conducting the research for this report because not everyone self-identified as such and there was often overlap among outreach workers, advocates, and others. The majority of sex workers and former sex workers interviewed were female or transgender persons, primarily transgender women.

All persons interviewed were informed of the purpose of the interview, its voluntary nature, and the ways in which the information would be used. All interviewees provided oral consent to be interviewed. Pseudonyms are used for all current and former sex workers and others requesting anonymity in order to protect their privacy, confidentiality, and safety.

Human Rights Watch also interviewed more than 110 outreach workers, advocates, lawyers, public defenders, prosecutors, judges, public health officials, and police officers in the four cities. Documents were obtained through Freedom of Information Law and public record requests and shared with Human Rights Watch from multiple sources, including the Metropolitan Police Department of Washington, DC, the Legal Aid Society of New York, and the San Francisco Human Rights Commission. All documents cited in the report are publicly available or on file with Human Rights Watch.

Human Rights Watch sought the perspective of government officials in each city including the police, prosecutors, and public health officials. Official responses in each city are detailed in the Findings section of the report.

Background

HIV continues to pose a major public health threat in the United States, where 1.2 million people are living with HIV, with one in five unaware of his or her infection. Approximately 50,000 people are newly infected with HIV each year, with racial and ethnic minorities bearing a disproportionate burden of the disease.[1] Thirty years into the epidemic, it is well established that interventions targeted at individual behavior are insufficient without attention to social, economic, legal, and other structural factors that influence vulnerability to HIV.[2] Addressing the epidemic among vulnerable populations requires understanding the risk environment in which they exist, and designing structural interventions in response. As Kevin Fenton, director of the National Center for HIV/AIDS, Viral Hepatitis, STD and TB Prevention of the US Centers for Disease Control and Prevention (CDC), wrote,

Though individually based interventions have had some success, it is clear that their success is substantially improved when HIV prevention addresses broader structural factors such as poverty and wealth, gender, age, policy, and power.[3]

Sex workers and transgender persons share many elements of an environment that shapes their risk of acquiring HIV. These include physical, social and cultural isolation, stigma, and a legal and policy environment that criminalizes their behavior and often their status.[4]Transgender persons, for example, face widespread discrimination, family rejection, stigma, and poverty, factors that illuminate the limited data that exist regarding HIV prevalence among this group. Transgender advocates recently released “Injustice at Every Turn,” a survey of nearly 6,500 transgender persons in the United States.[5] The report indicated pervasive discrimination, a poverty level four times higher than the general population, and twice the unemployment rate of non-transgender people, often leaving sex work as the only option for survival. Each of these factors was even more marked in transgender persons of color, as was vulnerability to HIV and AIDS. Among those surveyed, the self-reported HIV prevalence rate was four times higher than that in the US general population, with rates for those who had engaged in sex work higher than 15 percent.[6]

The consequences of arrest are harsh for sex workers, transgender women, and other LGBT people, who face high levels of abuse, harassment, and violence in police custody and in prison.[7] Sex workers who are immigrants have additional reason to fear arrest as the US government targets “criminal aliens” for removal.[8] For both documented and undocumented immigrants, prostitution and solicitation are potential grounds for removal and inadmissibility under federal immigration law.[9] As a “crime of moral turpitude,” a conviction for prostitution, loitering with intent to commit prostitution, or solicitation can be grounds for removal from the US, but there is also a separate provision that establishes prostitution as a removable offense.[10] Under this provision a criminal conviction for prostitution is not required for a finding of inadmissibility, if immigration authorities determine on other grounds that one has “engaged in prostitution.”[11] A conviction of prostitution or a determination that one has engaged in prostitution can render one inadmissible, meaning that those in the US cannot return if they leave the country and may have difficulty adjusting their legal status. These are also grounds that can trigger the mandatory detention requirements of the immigration laws for both documented and undocumented immigrants.[12]

Condoms are a proven method of preventing transmission of HIV and other sexually transmitted diseases, demonstrated to substantially reduce the risk of HIV transmission and endorsed by international and US health authorities as an essential component of HIV prevention programs.[13] In many jurisdictions, including the United States, condoms are provided as an essential HIV prevention method among populations whose actions are criminalized or for whom sex is prohibited such as prisoners.[14] Indeed, in each of the four cities addressed in this report, millions of condoms are distributed by the public health department each year as part of highly visible HIV prevention campaigns, and in each city, condoms are made available to inmates of the city’s jails.[15]

Prostitution—defined as the exchange of sex for money or other consideration—is illegal in 49 states in the US and is prohibited in every city addressed in this report.[16] The police are charged with enforcing laws, including laws against prostitution. But enforcement must be consistent with human rights obligations, including the rights to health, to liberty and security of the person, and to freedom from cruel, inhuman, and degrading treatment. Governments can and do take measures to ensure that the criminal laws do not impede human rights protection and public health, most notably by promoting harm reduction programs for drug users including syringe exchange and safe injection sites.[17] Each of the cities addressed in this report has syringe exchange programs that operate under exceptions to state drug paraphernalia laws. These programs are aimed at promoting treatment of drug addiction and preventing the sharing of needles, a mode of HIV transmission, by protecting drug users from police action in specific situations. They reflect collaboration between affected communities, law enforcement, and public health officials, an approach that should be applied to the issue of condoms as evidence of prostitution.

Findings: Condoms as Evidence of Prostitution in Four US Cities

New York City

HIV in New York City

New York City is the epicenter of the AIDS epidemic in the United States, with more than 110,000 people living with HIV and an AIDS case rate that is three times the national average. AIDS is the third-leading cause of death for New Yorkers between the ages of 35 and 54. African-Americans bear a disproportionate burden of HIV in New York, with an HIV diagnosis rate four times that of whites. Though HIV historically affected mostly males in New York, nearly a quarter of new HIV diagnoses are among women, with 92 percent of these in African-American or Latina women.[18] Young men who have sex with men, particularly young men of color, are increasingly at risk of HIV infection. In 2009, for the first time, HIV diagnoses among men who have sex with men aged 13 to 29 surpassed those among men 30 years and older.[19] Among transgender persons in New York City, there were 183 new HIV diagnoses between 2006 and 2010. Most of these occurred among African-American or Hispanic transgender women. Of the transgender women newly diagnosed with HIV, eight percent reported having engaged in sex work, a figure likely to be low given that it was based on the number of people who felt comfortable disclosing this fact to a medical provider.[20]

A recent study in New York City among people who exchange sex for money or other goods (a category broader than those who self-identify as sex workers[21]) found that 14 percent of the men and 10 percent of the women were HIV-positive.[22] This is dramatically higher than the 1.4 percent HIV prevalence in New York City generally and the 0.6 percent prevalence in the United States overall.[23]

New York State and City have devoted enormous resources to curbing the HIV epidemic, targeting prevention efforts to many of these vulnerable populations. A cornerstone of these prevention efforts is promoting universal access to condoms. The New York City Department of Health and Mental Hygiene (DOHMH) expanded an already-existing condom distribution program in the mid-1980s in response to the AIDS crisis, and in 2007 launched the New York City Condom Campaign, the first condom to be branded by a municipality in the United States. Within six months of the launch, the city’s condom distribution increased to more than three million condoms per month in the five boroughs (36 million per year). New York City currently distributes more than 40 million free condoms annually.[24] DOHMH states in its condom promotion materials, “It’s Your Right: No one—not even a spouse or intimate partner—can take away your right to use condoms, or your right to refuse sex.”[25]

Anti-Prostitution Enforcement in New York City

New York State law prohibits the offenses of “prostitution,”[26] a misdemeanor, and “loitering for the purpose of engaging in a prostitution offense,” a violation (punishable only by a fine) and a possible misdemeanor (punishable by a fine, jail time, or both).[27]Other prostitution-related offenses include patronizing prostitution,[28] promoting prostitution,[29] and sex trafficking.[30]

From January through November 2011 the New York City Police Department (NYPD) made 4,054 arrests for prostitution-related offenses.[31] This included 1, 899 prostitution cases (targeting the alleged provider of sex) and 1,192 arrests targeting alleged patrons of prostitutes. Six hundred and nineteen arrests were made for “loitering for the purpose of engaging in a prostitution offense.”[32]The vast majority of these arrests are disposed of without trial, primarily through plea bargaining or proceeding under a conditional discharge, usually requiring participation in a substance abuse or other “diversion” program.[33]

In 2011, for example, there were five acquittals in New York City for prostitution-related charges. Of cases showing a disposition, 85 percent showed “sentenced or sentence pending,” indicating a judgment of guilt. One of three persons convicted spent time in jail for the offense. In 2011 there were 35 arrests for sex trafficking in New York City (see Tables 1 and 2 below).[34]

Table 1. Prostitution Related Arrests in New York City in 2011*

CHARGE ARRESTS
PL 230.00 Prostitution 1,899
PL 230.04 Patronize Prostitute – 3rd 1,188
PL 240.37 Loitering for Prostitution 691
PL 230.20 Promoting Prostitution – 4th 119
PL 230.25 Promoting Prostitution – 3rd 92
PL 230.34 Sex Trafficking 35
PL 230.40 Permitting Prostitution 10
PL 230.30 Promoting Prostitution – 2nd 9
PL 230.33 Compelling Prostitution 6
PL 230.06 Patronize Prostitute – 1st 3
PL 230.05 Patronize Prostitute – 2nd 1
PL 230.32 Promoting Prostitution – 1st 1
PL 230.03 Patronize Prostitute – 4th 0

* as of 11-22-11. Source: DCJS, Computerized Criminal History system.

Table 1. Dispositions of Prostitution Related Arrests in New York City in 2011*

ARRESTS

Total Arrests

4,054

Dispositions Reported

2,460

Open, No Disposition Reported

1,594

Total Dispositions

2,460

Convicted: Sentenced

2,053

Dismissed

228

DA Declined to Prosecute

127

Convicted: Sentence Pending

41

Acquitted

5

Other

4

Covered by Another Case

2

Total Sentences

2,053

Conditional Discharge

859

Fine

527

Jail

348

Time Served

314

Probation

2

Other

2

Jail and Probation

1

Prison

0

Unconditional Discharge

0

* as of 11-22-11. Source: DCJS, Computerized Criminal History system.

Prosecutors have attempted to use condoms as evidence in some of the few cases that proceeded to trial. Kate Mogulescu, a public defender with the Legal Aid Society of New York, has spent the last two years defending prostitution and loitering for purposes of prostitution cases in Manhattan and serving as a consultant on prostitution trials in other boroughs. Mogulescu said that in that time period, “Prosecutors tried to introduce condoms in two of the ten cases that went to trial, and in both of those the judge refused to admit them as evidence.”[35]

In a case tried by Mogulescu in June 2010 Judge Richard Weinberg of the Criminal Court of the City of New York had this exchange with the prosecutor:

Judge Weinberg: I don’t care about the condoms. This is the 21st Century.
Prosecutor: The People would like to voice their objection. This is circumstantial evidence of defendant’s intent.
Judge Weinberg: And every other woman and man who wants to protect themselves in the age of AIDS.[36]

In New York “loitering for the purpose of engaging in a prostitution offense” is defined as when a person “…remains or wanders about in a public place and repeatedly beckons to, or repeatedly stops, or repeatedly attempts to stop, or repeatedly attempts to engage passers-by in conversation, or repeatedly stops or attempts to stop motor vehicles, or repeatedly interferes with the free passage of other persons, for the purpose of prostitution.”[37]The loitering for purposes of prostitution law has long been considered unconstitutionally overbroad by civil liberties advocates in New York State. In 1978 it was challenged as too vague to provide adequate notice of what conduct was illegal, a violation of the right to due process of law under the 5th and 14th Amendments, but the law was upheld by the New York Court of Appeals.[38] The Court specifically upheld the use of circumstantial evidence for the loitering charge, including the location of the defendant in a “known” prostitution zone, the officer’s prior arrests of other people for prostitution in that location, and recognition of the defendant as a previous prostitution offender.[39]

According to the New York Police Department Patrol Guide, police officers are permitted to include the suspect’s location, conversations, clothing, conduct, associates, and status as a “known prostitute” in order to establish that someone is loitering for the purpose of engaging in prostitution.[40]This and similar loitering laws are problematic from a human rights perspective, in that they grant police wide latitude to engage in unjustified interference with lawful activities short of actual solicitation. Such laws enable arbitrary and preemptive arrests on the basis of profile or status, rather than criminal conduct.[41]

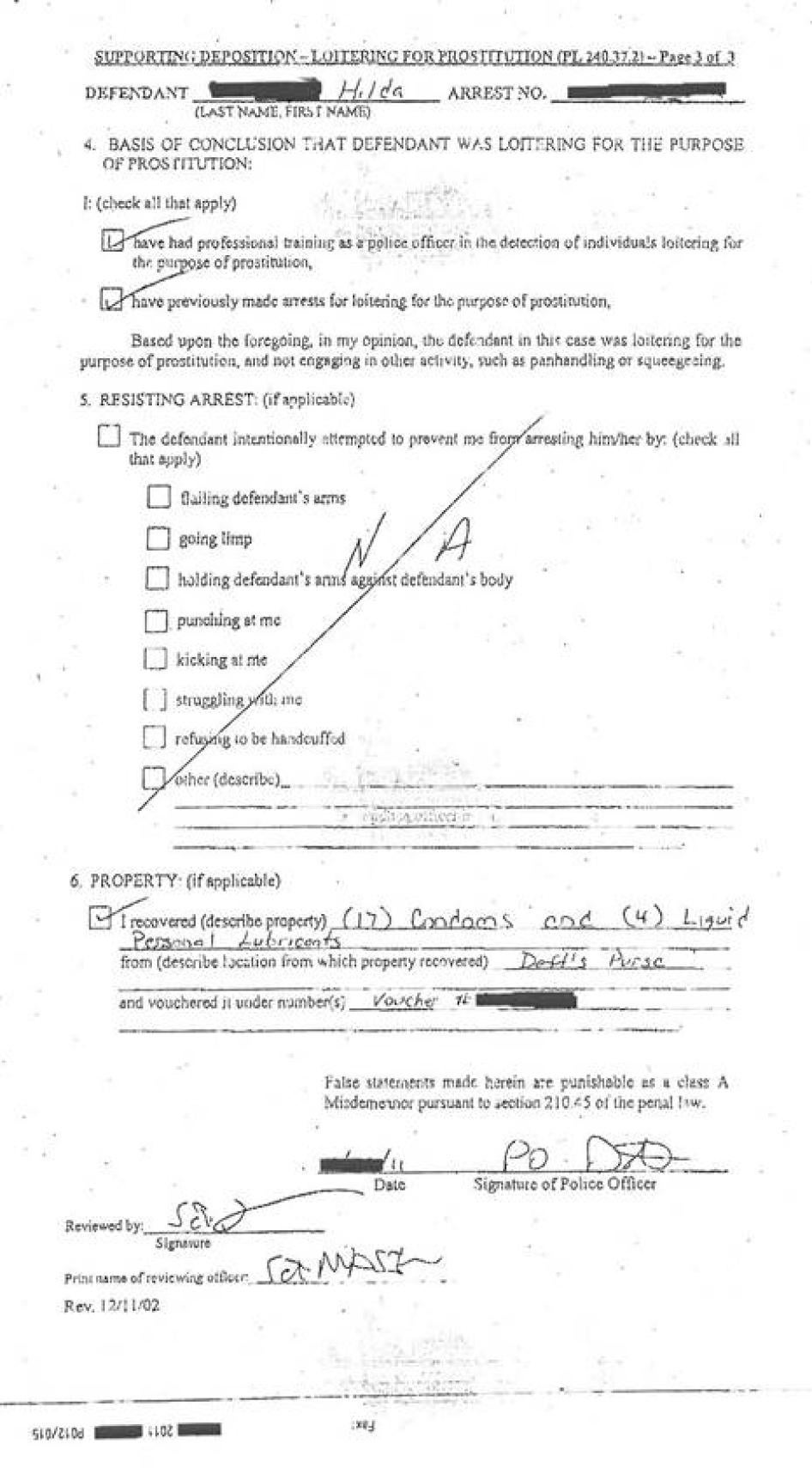
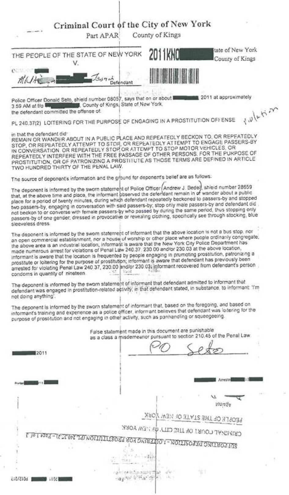
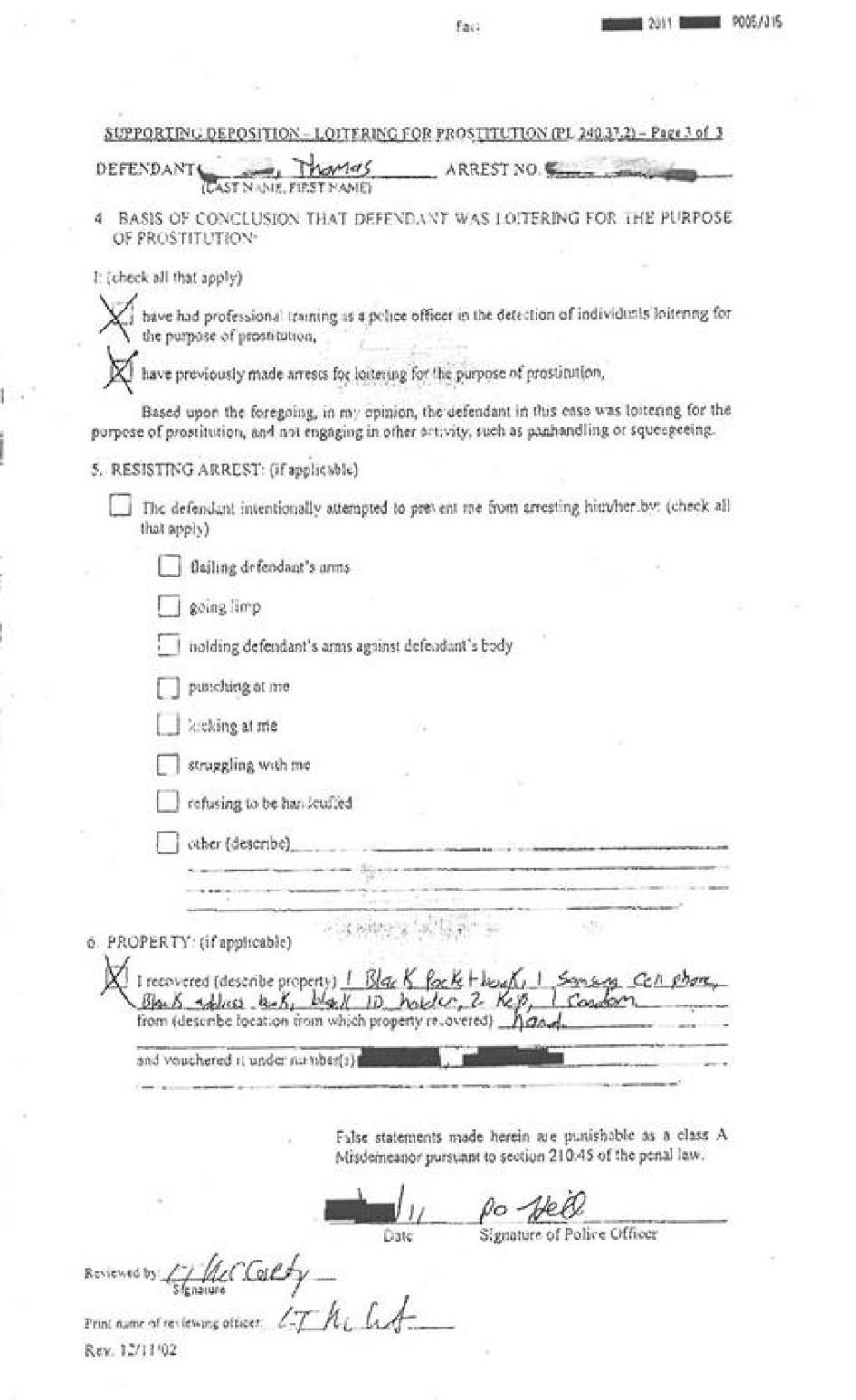
Under federal and state law, police may stop an individual on a reasonable suspicion of criminal activity.[42] Police may conduct a search if there is probable cause to believe that the person committed a crime.[43] The expansive grounds for suspicion under New York’s loitering for the purposes of prostitution statute permit police to stop and search individuals for a wide variety of reasons and it is during these searches that condoms may be discovered and seized. Condoms may also be seized as evidence of non-loitering prostitution charges such as those based on solicitation of an undercover police officer or other grounds.[44] In Brooklyn criminal courts “condoms” are one item listed as an option as “additional evidence of prostitution” on forms filled out by police officers in support of prostitution and loitering charges. On forms used in Manhattan criminal court, officers have added condoms to the narrative as “additional evidence” to support prostitution charges. Examples of forms filed in Brooklyn and Manhattan criminal courts identifying condoms as evidence of prostitution are included in Appendix A.

Condoms as Evidence of Prostitution

Human Rights Watch interviewed sex workers in Manhattan, Queens, Brooklyn, and the Bronx. In each borough sex workers told Human Rights Watch that they were frequently stopped by police and searched. In many instances police seized the condoms and routinely commented on the number of condoms they were carrying when condoms were found as part of a search.

Police Stops and Seizure of Condoms

Tanya B., a Latina transgender sex worker in Queens, stated,

I was stopped and threatened. The cops said ‘empty your purse.’ I cleared out everything but left the condoms at the bottom—I got caught. They said ‘how come you didn’t pull out the condoms? I can arrest you because of this.’ I said ‘it’s not a problem, I have no weapons, no drugs’ and the police officer said ‘next time I will arrest you because this is evidence you are a prostitute.’[45]

Pam G., a woman who has Multiple Sclerosis and is a sex worker, told Human Rights Watch of her experience in Coney Island, Brooklyn:

The cops say, ‘what are you carrying all those condoms for? We could arrest you just for this.’ They use it to push the issue of searching me. It happens all the time around here. I may be carrying eight condoms. If you have more than three or four on you, they will take them, they will be disrespectful.[46]

Alysha S., an African-American sex worker in Hunt’s Point, Bronx, stated,

I have been picked up because I have condoms, it happened to me. I had five. I was by McDonald’s, I was walking down the street, he [policeman] went into my pocket, I always have them in my pocket.[47]

Misinformation about the Legality of Condoms

For some sex workers the use of condoms as evidence of prostitution leads to confusion about how many they can carry and a perception that condoms are illegal. Sienna Baskin is a lawyer and co-director of the Urban Justice Center’s Sex Worker Project. Baskin said that sex workers frequently ask, “How many condoms it is legal to carry in New York City?” Baskin informs them that it is legal to carry as many as one wishes.[48]

Lynn A. had just moved to New York from the Midwest. She said, “I didn’t know this was happening at all, I didn’t know carrying a condom was a crime. I just came from Minnesota and in Minnesota they give out condoms.”[49]

Police Profiling as Sex Workers

Many people complained of being stopped, searched, or arrested while engaging in legal activity, many just while walking in their own neighborhoods. Along with appearance, being known to officers as a sex worker, or being in an area “known” for prostitution activity, condoms could lead to women being identified by police as sex workers. Lola N., an African-American sex worker in Hunt’s Point, Bronx said,

One day I was walking with a boyfriend and a vice cop pulled up, jumped out. My boyfriend, he had weed on him and they let him go. They arrested me. They found condoms on me. They say I was arrested for solicitation.[50]

Many members of the Queens Latina transgender community experienced being stopped and searched by the police on suspicion of prostitution while walking in their own neighborhoods. Alexa L., a transgender woman from Mexico, said,

Eight days ago I wasn’t working because I was sick. I left my house to get a coffee, and had two condoms in my pocket. The police stopped me and said ‘what are you doing?’ I said I was getting coffee. They searched me and found two condoms. They asked ‘what are you doing with two condoms, what are they for?’ I said they were for protection. They took the condoms. I couldn’t get coffee, I was so scared. I felt very bad. I’m not a delinquent, I didn’t steal. When they searched me and found them, I was shaking, I was so scared.[51]

Selena T., told Human Rights Watch,

They have emptied out my whole purse. The cops assume I’m a prostitute, they stop me, open my purse, check if I have a certain number of condoms. They are always looking for condoms when they open your purse.[52]

Yanira C. was at the movies before she was arrested:

I was with a friend on 82nd and Roosevelt. We came out of a movie theater. Some cops in a van came over, said I was being arrested. The cops said I was too beautiful. The charge was that I had more than one condom in my bag. They locked me up for two days for solicitation and prostitution…they said I had condoms, it was on the report.[53]

Mona M. is from El Salvador and has lived in Jackson Heights, Queens for ten years. She is a transgender woman who takes it upon herself to provide condoms to other sex workers. She said, “To the police, all transgenders are prostitutes.”[54]

Juan David Gastolomendo is executive director of the Latino Commission on AIDS, a nongovernmental organization providing support and outreach services to Latina transgender women in Queens. According to Gastolomendo their clients are regularly targeted as prostitutes by law enforcement:

The false arrest is mainly on loitering charges, including loitering for prostitution. It ends up boiling down to being a trans woman in a place where known sex work is happening. The arrest is based on the client’s identity and where the arrest happens. These are places where prostitution happens, but they are also places where people socialize.[55]

Police Interference with Outreach Activities

Several women who often engaged in peer outreach and education described how police interfered with these activities. Anna E., a 32-year-old former sex worker from Mexico, said,

I went back to the clubs in Jackson Heights, not to be a prostitute, but just to go back to the clubs. I can’t walk on Roosevelt Avenue between 72nd Street and 82nd Street because the police are there and they immediately think I’m a prostitute. I can’t carry condoms like I used to and give them to my friends. I have a terror about it. I am panicked especially since now I have a job as a stylist. I feel I can’t give out condoms to my friends because I am afraid to carry them.[56]

Mona M. sits in a neighborhood restaurant at a regular time so that she can provide condoms to women who are afraid to carry condoms when they are working:

The majority have fear, they don’t carry condoms…. I’m an outreach worker. They know Mona will be in the cafe. They will only come when they have a client, get one condom, then leave with the client. For me it’s a risk to have the condoms in my purse. But I’ve worked as an outreach worker, and I feel obligated to carry condoms because if someone comes up and asks me, and I don’t have one, what are they going to do?[57]

Police also have harassed outreach workers from service organizations despite workers’ explanations and presentation of identification issued by their employers.[58] In Queens and other boroughs the Latino Commission on AIDS gives each outreach worker a printed form to carry explaining to police why they are carrying and distributing condoms in the neighborhood. A copy of this form is included as Appendix B.

Immigration Consequences of Arrest for Prostitution

The immigration laws put undocumented sex workers in a serious dilemma. According to public defenders in New York, they are acutely aware of the untenable situation their clients face and often must advise their clients to plead guilty to an offense in order to be released from custody. They want to avoid going to Rikers Island Correctional Facility where federal Immigration and Customs Enforcement (ICE) agents screened arrivals for immigration violations.[59] As Barbie M., an undocumented sex worker, described it, “I pled guilty to prostitution, my lawyer said to plead guilty, I had no other option because if I didn’t plead guilty I would stay in jail and be deported.”[60]

However, as of May 15, 2012, avoidance of immigration screening will no longer be possible, as ICE began to implement the Secure Communities Program. Under this program the fingerprints of all persons arrested by local police are sent to federal immigration authorities for review to determine whether they should be detained for immigration purposes.[61] For sex workers who are undocumented and transgender this development is particularly disturbing as deportation can mean a return to countries where they have endured life-threatening abuse and discrimination. Juan David Gastolomendo of the Latino Commission on AIDS said,

We see mainly false arrest, profiling. Latino immigrants, trans, MSM. This has immigration implications, which is a major concern. They will be deported to the situations they were fleeing from. The trouble with this is that a lot of individuals who are deported could file for asylum if we had the resources for this.[62]

Fear of Carrying Condoms as a Result of Police Action

Many sex workers reported that they continued to carry condoms despite fear of arrest. For others, however, fear of arrest, jail time, and conviction on prostitution charges overcame their need to protect themselves from HIV and other sexually transmitted diseases. Anna E. said,

Am I afraid to carry condoms? Yes I was for a long time. When I was working on the street, I felt like I could only carry two or three, not a lot when I went out…[63]

Nola B. explained that transgender sex workers may need more than one condom during an exchange:

For sex workers who are transgender, sometimes the transgender has to put on a condom, so does the client. So you need two. Or they could break. One to two is not enough.[64]

Outreach workers who provide harm reduction services on the street confirmed that sex workers were often reluctant to take condoms for fear of arrest. An outreach worker in the Bronx and East Harlem said,

We usually hand out two packs [of condoms] at a time. I’ve had girls give one pack back and say ‘we’ll share.’ Sometimes they are not carrying anything to carry them in, and with them getting stopped so often, they don’t want to have a lot on them.[65]

Lorena Borjas, an outreach worker for the Latino Commission on AIDS in the Queens Latina transgender community gave a similar testimony:

The police are arresting a lot of people in Jackson Heights. The girls are afraid to carry condoms…The Department of Health says protect yourself, you see their advertisements on TV, on the radio, on the subway. But the police in Queens are either not well trained, or don’t know better that they are doing things wrong. They are arresting girls and using condoms as evidence.[66]

Mito Miller, an outreach worker in the West Village in Manhattan told Human Rights Watch,

I have never had any young men afraid to take condoms, only black and Latina trans women who have refused to take them. I’ve had people not take condoms, people who do go through a rigorous routine of hiding them. They were wrapping them in paper, so they were gift-wrapped…They took a couple, but consciously limit themselves, even though they know they are working and would need more, because they couldn’t hide them.[67]

Several sex workers stated that because of police practices they had no choice but to engage in sex work without condoms as a result. Alexa L. said,

I use condoms. I take a lot of care of myself. But the police affect our ability to carry them. Sometimes I’m afraid and have not used them. I am very worried about my health.[68]

Tanya B. said she runs out of condoms but has to keep working:

[Police action] affects my ability to carry condoms. A lot of girls carry one to two condoms but some nights are very successful and you have to do the last one [client] without one.[69]

Anastasia L., a transgender woman from Mexico who did sex work in Queens until 2007, said,

If I took a lot of condoms, they would arrest me. If I took few or only one, I would run out and not be able to protect myself. How many times have I had unprotected sex because I was afraid of carrying condoms? Many times.[70]

Police Abuse, Harassment, and Misconduct

Sex workers reported that whether condoms played a role or not, interaction with police frequently was accompanied by verbal and physical abuse. This was particularly true for transgender women, as reported by Victoria D.:

All my arrests always came from just walking on the street, coming out of a club, or just because a cop identified me as transgender. They would always look for condoms. They don’t care about you, they take your purse, throw it on their car, your stuff they throw it on the floor, they pat frisk you, they ask if you have fake boobs, take them off right there, if you have a wig, take it off. It’s humiliating. Right there in the street, they take your identity right there. When they find condoms, they say ‘what are these for… how many dicks did you suck today? How much money did you make today?’[71]

Alexa L. told Human Rights Watch,

Five months ago, I was going to see my partner, my husband. A police van stopped and four police officers came out. They stopped me, put me in handcuffs, and asked what I was doing. I said I was going to see my partner, and they said I was lying, that I was prostituting myself. They pushed me against the wall and I scraped my knee and my cell phone fell down. They were saying …‘fuck you gay’… That time they arrested me and I had one condom in my breast. They found it and took it and threw it away.[72]

Transgender women described abuse by law enforcement officers in Queens Central Booking, The “Tombs” detention complex in Manhattan and at Rikers Island Correctional Facility. Tara A. was in Queens Central Booking in April of 2011:

I spent 24 hours in Central Booking in Queens. Just 24 hours in hell, the psychological side is affected because you have to go in an area with men. It’s not just being arrested…In front of me men were insulting me, saying ‘faggot.’ I felt discriminated when they took my fingerprints, they put on gloves, like they were disgusted. They made fun of me, the police officers. Sometimes I’d walk by the men and they’d say ‘you’re pretty.’ The police officer would say ‘she’s not a woman, she’s a man.’[73]

Transgender women described many incidents, including extortion for sex, which, if perpetrated by policemen, would constitute criminal activity or misconduct. Some occurred several years ago but there were recent incidents as well. Brenda D. told Human Rights Watch about an incident in December 2011:

I went into a car with a person. He said he was a police officer and said ‘if you help me I’ll help you.’ He said he wanted oral sex. He showed me a badge. He said if I didn’t have oral sex with him he would call the police and arrest me for prostitution. [74]

Valerie S., a transgender sex worker from Queens described an incident she said occurred three months earlier:

An Asian police officer came up. I thought it was a client, I went into his car. I put my hand on his, he didn’t let me and we kept driving. I started leaving the car at the red light. He said ‘stop, I’m police’ and showed his badge. He said he wanted oral sex. I said ‘what do I do’? Looking at the badge, I didn’t want to get arrested.[75]

Mona M., a former sex worker who now does outreach in the Queens transgender community told Human Rights Watch,

I’ve heard from some of the girls that they have an agreement with the police. It means if you have sex with me, your charges will disappear.[76]

None of these individuals complained to the police or other authorities. Anna E. was forced by a New York City police officer to have sex with him in Queens in 2006. She explained why she never reported the incident:

No, because I was too terrorized by all the other interactions with the police, I haven’t reported it until now [that I am sharing it with Human Rights Watch]. I have faced so much discrimination and trouble with so many cases, and so many psychological problems with the case, I didn’t want any more trouble. But if I had the psychological state to do it, I would, because I think it’s important.[77]

NYPD mistreatment of transgender people has been documented by Amnesty International and others.[78] On June 12, 2012, the NYPD announced reforms to the official patrol guide intended to improve interaction between police and members of the transgender community.[79] This is a step forward but the testimony of individuals interviewed for this report indicates much work remains to protect the human rights of sex workers and transgender persons in New York City.

LGBT Youth Affected By Condoms as Evidence

Men who have sex with men and LGBT youth are at high risk of HIV infection in New York City. In 2009, HIV diagnoses among men who have sex with men aged 13 to 29 surpassed, for the first time, those among men aged 30 and older.[80] In New York City between 2006 and 2010, new HIV infections among young men who have sex with men, particularly young men of color, were consistently higher than in any other transmission category.[81]

One in four LGBT teens runs away or is forced to leave home, and between 20 and 40 percent of homeless youth self-identify as LGBT. [82] Many may not identify as sex workers but may exchange sex for money, food, and other necessities. LGBT youth report being harassed for possessing condoms by police enforcing anti-prostitution laws.

Streetwise and Safe (SAS) is an advocacy organization for LGBT youth of color focused on challenging harmful criminal laws, policies, and practices that target this population. In 2011 SAS participated in research conducted by the PROS (Providers and Resources Offering Services to sex workers) Network and the New York Department of Health and Mental Hygiene (DOHMH) by surveying peers in their age group and others about police harassment for condoms. Of those surveyed by SAS members, 60 percent had been stopped and searched by a police officer, and one-third said police had taken condoms away from them. Half of the survey participants said they feared carrying condoms because of trouble with the police.[83]

Outreach workers to LGBT youth told Human Rights Watch about a young girl in Manhattan who refused to take more than one condom out of fear of arrest:

I was handing out condoms in Tompkins Square Park. One lady came up and took two condoms. I said ‘you can take more’ but she said ‘no, they’ll arrest me.’ She was scared to take them… she might have been 18 [years old]. [84]

In May 2011 SAS co-hosted a forum with Manhattan District Attorney Cyrus Vance to address criminal justice issues. Nearly 50 LGBT youth testified about the practice of police confiscating condoms and using them as evidence of prostitution and loitering for prostitution charges. [85] According to Andrea Ritchie, civil rights lawyer and activist and co-coordinator of SAS,

LGBT youth are primary targets of HIV prevention efforts, including condom distribution in schools, drop-in centers, and communities. At the same time, they make up a disproportionate number of homeless youth and are subject to intense policing practices in public spaces as a result…They are routinely profiled as being engaged in prostitution-related offenses and subjected to NYPD stop-and-frisk practices. This all adds up to a lethal combination where condoms are confiscated and used in evidence, undermining public health efforts and criminalizing LGBT youth. [86]

Although not the focus of this report, police interference with condom possession among LGBT youth in New York City merits further investigation.

Documentation of Condoms as Evidence from the New York City Department of Health and Mental Hygiene and the Urban Justice Center/PROS Network

In the summer and fall of 2010 the Sex Worker Project of the Urban Justice Center and the PROS Network assisted the New York City Department of Health and Mental Hygiene (DOHMH) in conducting a survey of sex workers in New York City to assess the prevalence of the practice of police using condoms as evidence of prostitution. The findings of this survey were not released publicly, even to the PROS Network, until Human Rights Watch obtained a redacted version in February 2012 by filing a request under the New York Freedom of Information Law. The results indicated that of 63 individuals surveyed, 81 percent had been stopped and searched by a New York City police officer; 57 percent had had condoms taken away from them by a New York City police officer; and 29 percent said they had at one time not carried condoms because they were afraid of trouble with the police. When this group was asked to explain what about the police made them fear carrying condoms, statements ranged from their own experiences with arrest, hearing that condoms could cause you to be marked as a prostitute, and the potential embarrassment of having condoms seized.[87]

On the basis of this report, DOHMH included the issue of using condoms as evidence in their 2011 Enhanced Comprehensive HIV Prevention Plan (ECHPP) submitted to the Centers for Disease Control and Prevention in March 2011, noting their support for current legislation pending in the New York State legislature that would prohibit the use of condoms as evidence of prostitution, and stating that discussions with the New York City Police Department about the issue were “underway.”[88] However, in an interview with the New York Times published on April 24, 2012, a spokesperson for the DOHMH stated that the department had reversed its position:

After the Commissioner reviewed the study, which found that the current law has not resulted in sex workers consistently failing to carry condoms because of fear of arrest, he decided not to support the legislation. We have seen no evidence that the current law undermines the public health aims of condom distribution.[89]

The Sex Worker Project of the Urban Justice Center and the PROS Network followed up on these findings with additional surveys taken in the fall of 2011. In a report released on April 17, 2012, the two organizations reported that 74 percent of the 35 sex workers surveyed had been stopped and searched by the police, and 46 percent of sex workers surveyed had at one time not carried condoms due to fear of the police. Fifteen sex workers reported having had condoms confiscated by the police, with six of these individuals reporting that they continued engaging in sex work after the confiscation. Of these six sex workers who engaged in sex work after the confiscation, three did not use protection.[90]

Response of New York City Public Officials

Human Rights Watch requested interviews with the New York City Police Department, the District Attorneys in each of the four boroughs addressed in this report, and the New York City Department of Health and Mental Hygiene.

The NYPD “respectfully declined” to meet with Human Rights Watch.[91] The New York City Department of Health and Mental Hygiene did not respond to repeated written requests for an interview.[92] As of May 2012, only the Manhattan and Queens District Attorneys had granted our request for interviews, though the Manhattan District Attorney’s office has not scheduled an interview as of this writing. The Bronx District Attorney’s office replied that, “we have not seen cases where such evidence [condoms used as evidence of prostitution-related offenses] was collected or used. Accordingly, at this time there seems to be no reason for a meeting,” but failed to respond to subsequent requests to clarify this statement.[93] The Brooklyn District Attorney failed to respond to a request for an interview, but has publicly expressed its opposition to proposed legislation prohibiting the use of condoms as evidence.[94]

In the view of the office of the Queens District Attorney, condoms are useful items of evidence in prostitution-related offenses, and banning condoms as evidence “would seriously damage our cases.”[95] The office emphasized the importance of using condoms as evidence in sex trafficking and promoting prostitution cases in which the alleged prostitutes, mostly women, are victims of criminal exploitation. Lois Raff, Counsel to the Queens District Attorney, stated,

We spend a lot of focus on going after pimps and sex traffickers for promoting prostitution, kidnapping, and sex trafficking. In that context as well, condoms may be one way the pimp will facilitate prostitution, by providing them.[96]

The Queens District Attorney stated that condoms were useful in efforts to close brothels and other businesses engaging in prostitution such as nail salons, hotels, and residences. “A large number of condoms will be evidence in these cases,” said Ms. Raff.[97] Their office currently has seven sex trafficking cases and 65 cases for promoting prostitution, internet crimes, and illegal massage parlors pending disposition. With regard to sex trafficking and promoting prostitution, they estimated that condoms were part of the evidentiary basis for the prosecution in two of these cases.[98]

The NYPD “Stop-and-Frisk” Policy

In New York City, police stops and searches of sex workers, and those profiled to be sex workers, can be placed in the larger context of questionable police policies for stopping and searching persons without suspicion of criminal activity. The US Constitution and New York State Law permit an officer to stop an individual temporarily if the officer has reasonable suspicion that the individual is committing or has committed a crime, and to frisk the individual for a weapon if the officer reasonably suspects that he is in danger of physical injury. [99] A pending federal lawsuit, Floyd v. City of New York, challenges the NYPD’s “stop-and-frisk” practices, claiming that a substantial number of the nearly 700,000 annual stops and frisks by the police lack adequate grounds for reasonable suspicion, are racially motivated, and are unlawfully targeted toward black and Hispanic New Yorkers.[100]

Although not specifically focused on stops and frisks enforcing anti-prostitution or loitering laws, plaintiffs in Floyd have submitted extensive evidence that an NYPD policing policy based on quotas for stops and arrests is a driving force behind many of the stops and frisks.[101] This policy, described officially by NYPD as “minimum thresholds for performance,” but as “quotas” by current and former officers, rewards a certain number of street stops per week.[102] It is not clear how many stops on suspicion of sex work are recorded as “stops and frisks,” but many of the neighborhoods where stops and frisks occur on a regular basis are the same neighborhoods where sex workers are frequently stopped. Jackson Heights, Queens, for example, the location of much of the harassment of Latina transgender women documented in this report, has the third-highest rate of stops and frisks in the city.[103] In New York City, failure to respect the right of sex workers, transgender women, and LGBT youth to liberty and security of the person is part of broader human rights concerns raised by practices of the NYPD.

Washington, DC

HIV in Washington, DC

The HIV epidemic in Washington, DC is one of the most severe in the United States. The overall prevalence of HIV in the District is three times higher than the one percent designated by the World Health Organization as a generalized epidemic.[104]Washington, DC has the highest AIDS diagnosis rate and the second-highest rate of new HIV diagnosis among major metropolitan areas in the United States.[105] Half of the District of Columbia population is African-American.[106] Of the 17,000 persons living with HIV, however, 75 percent are African-American. Most people living with HIV in Washington, DC are males (72 percent), but black women in DC are 14 times more likely to be living with HIV than white women.[107] Sex between men is the most frequent mode of transmission, responsible for 38 percent of all living cases of HIV/AIDS, with 27 percent of people living with HIV/AIDS reporting infection through heterosexual contact and 16 percent through injection drug use.[108]

The District of Columbia’s response to HIV came under heavy criticism in the last decade. In 2005 the non-profit public policy organization DC Appleseed Center for Law and Justice released a comprehensive critique of the city’s failure to adequately budget, plan, and confront the HIV epidemic in the District. The report called for sweeping reforms in infrastructure, coordination, and resources for surveillance, prevention, care, and services.[109] That same year the HIV Prevention Planning Council for the District appealed to the federal Centers for Disease Control and Prevention to intervene in the city HIV and AIDS office as it was missing federal deadlines for developing and reporting crucial epidemiological data for the city.[110]

Major changes followed these reports, including a new director for the HIV program and an organizational restructuring in the District of Columbia Department of Health. Every year since the initial report, DC Appleseed has issued a report card on the District’s efforts in the battle against AIDS. The most recent report card indicates that substantial progress has been made in many areas, confirmed by Department of Health data showing a decrease in the HIV prevalence to the current figure of 3.2 percent, a decrease in new AIDS cases, a testing program that nearly doubled the number of HIV tests, and a significant decrease in deaths from AIDS.[111]

City government in the District of Columbia has demonstrated a commitment to improving its response to the HIV epidemic, and HIV remains a focus of the current administration. In 2011, Mayor Vincent Gray appointed a Mayor’s Commission on HIV and AIDS in order to “help end the HIV epidemic in the District of Columbia by focusing on treatment, the needs of people living with AIDS, and the prevention to stop new infections.”[112] The Commission will bring together medical providers, academics, faith-based community members, and members of government to make recommendations on best practices for improving care, services, and prevention programs. In July 2012 the city will host the 19th Annual International AIDS Conference, where the epidemic and the response of the District will be in the spotlight.

One area of marked improvement is condom distribution in the District of Columbia, where four million condoms were distributed in 2010 compared to 115,000 in 2006.[113] The Rubber Revolution, part of the District of Columbia’s HIV prevention program, uses the internet and other social media to encourage condom use. The Rubber Revolution website says,

Today is the day that you join the Rubber Revolution, a new movement in DC to take condoms out of hiding. We want to get those rubbers out of your wallet, remove them from your purses and pull them out from under the beds of every ward in the city. We want condoms in the hands of the men and women of DC to use for responsible and good sex. We are creating a movement of people who are committed to getting and using condoms. No longer will we have to hide condoms.[114]

Anti-Prostitution Enforcement in Washington, DC

Washington, DC law prohibits engaging in or soliciting prostitution, an offense defined as “a sexual act or contact with another person in return for giving or receiving a fee.”[115] Penalties range from a fine of not more than US $500 and/or 90 days in jail for a first offense to a possible two year jail sentence for the third offense.[116]

In 2005 the DC Council enacted the Omnibus Public Safety Act that provided for the declaration of “Prostitution-Free Zones” (PFZ) by the Metropolitan Police Department (MPD). Under this statute, the MPD may designate an area a PFZ on the basis of “disproportionately high” arrests for prostitution or calls for police service related to prostitution in the locale in the previous six month period, or “objective evidence or verifiable information” indicating that a high incidence of prostitution is occurring in that locale.[117]

Within the PFZ police may arrest or disperse persons determined to be engaging in or soliciting prostitution, based on a range of behaviors and factors similar to those enumerated in New York City’s loitering for prostitution laws. These include not only conduct such as flagging down cars and conversing with passers-by, but being a “known participant in prostitution or prostitution-related offenses.”[118] In addition, in the PFZs police may arrest two or more persons who are “reasonably believed” to be congregating for the purposes of prostitution and who fail to disperse when ordered to do so.[119] The declaration of a PFZ can last as long as 480 consecutive hours after notice is posted in the area by the MPD.[120]

Although prostitution is unlawful throughout Washington, DC, the broadly drawn loitering laws that permit arrest based on a range of circumstantial evidence are enforceable only within an officially declared PFZ. This statute was immediately controversial, drawing opposition from a broad spectrum of community groups and civil liberties advocates.[121] No legal challenge, however, has ever been filed, primarily because MPD has never made an arrest for failure to disperse under the PFZ statute, leaving its legality untested in the courts.[122]

The MPD practice of dispersing people from the PFZs was the subject of advocacy in the sex worker and transgender community. Police profiling of transgender persons as prostitutes was a significant factor in organizing the transgender community to push for the addition of transgender and non-gender conforming people to the city’s Human Rights Act in 2005.[123] After two years of negotiation between the transgender community and the MPD, the MPD issued guidelines for members of the police force addressing their interaction with transgender individuals that includes a prohibition on profiling transgender persons as sex workers:

Members shall not solely construe gender expression or presentation as reasonable suspicion or prima facie evidence that an individual is engaged in prostitution or any other crime.[124]

In January 2012 the DC Council considered a bill sponsored by Councilwoman Yvette Alexander to expand the prostitution-free zones.[125] The new bill would have permitted the MPD to declare a PFZ on a permanent basis for an unlimited period of time. Between 2009 and 2012, arrests for prostitution-related offenses decreased by nearly 50 percent, from 1,695 in 2009 to 845 in 2011.[126] In testimony before the Committee on the Judiciary regarding the bill, Assistant Chief of Police Peter Newsham opposed expansion of the PFZs, explaining that they had little to do with the drop in prostitution arrests in recent years. Chief Newsham stated that the PFZs had not reduced prostitution in the District in a meaningful way, rather subjecting it to “temporary displacement.”[127] He noted that prostitution complaints from citizens as well as arrests had steadily decreased in the last several years, a decrease he attributed to several factors other than the PFZs, including the movement of many prostitution activities indoors and onto the internet. With regard to street prostitution, he stated that in his experience, many people engaging in this type of prostitution are drug dependent or have mental health problems, and “this is not a problem we can arrest our way out of.” Chief Newsham urged an increase of social services to the population engaged in prostitution.[128]

The Office of the Attorney General for the District of Columbia also testified against expansion of the PFZs, noting that the original PFZ legislation was vulnerable to constitutional challenge and the expansion bill was even more likely to be found unconstitutionally vague.[129] The proposed legislation was returned to the Committee by the Council as whole for reconsideration and as of June 2012 had not been enacted.[130]The original PFZ legislation remains in place.

Condoms as Evidence of Prostitution

In Washington, DC, sex workers told Human Rights Watch that condoms were used as part of police stops on suspicion of prostitution.

Stops and Searches for Condoms

In Washington, DC as in other jurisdictions a lawful stop requires reasonable suspicion of criminal activity and lawful searches must be based on probable cause for arrest on a specific charge.[131]Every stop, however, does not result in arrest, and most stops reported to Human Rights Watch consisted of police questioning, searching, and demands to “move along” without resulting in an arrest. It was during these encounters that sex workers were most frequently targeted for carrying condoms during enforcement of the anti-prostitution laws.

Annie P., an African-American transgender woman who used to be a sex worker told Human Rights Watch,

I stopped tricking three years ago. But when I walk through the old neighborhood where my boyfriend still lives, I get stopped by the police who think I am still working. A few months ago I had been visiting my boyfriend and I had three condoms still on me. The police stopped me, asked me to empty my pockets, and asked me why I was carrying so many condoms. I said ‘cuz that’s how many times me and my boyfriend do it.’ But he didn’t believe me, and made me wait while he looked to see if there were prostitution charges against me. Since I didn’t have any recent ones he let me go.[132]

Cassandra A., a transgender woman and sex worker, stated,

I was stopped at 4th Ave and Rhode Island Avenue. I and a friend had gotten a ride to the store, and we were stepping out of the car when some vice cops rode up. They were looking for drugs or something so they patted us down and asked me why I was carrying a condom and asked was I tricking? ‘Are these guys your pimps?’ And I said no and we didn’t have any drugs so they let us go. This happens all the time that they ask about the condoms you are carrying, if you are a known prostitute it is one of the basic questions asked by the cops when they stop you.[133]

Lee H., an African-American sex worker, also said that police frequently target condoms during stops:

Three months ago in the downtown area I was stopped by the cops. They told me to put my hands on the police car and they searched my purse. They asked me why I had so many condoms. I had 15 condoms in my purse, and if you have more than two condoms they think you are a sex worker. I told them it was not their business how many condoms I had. I said I might be out here giving it away but I’d rather have too many than not enough. It’s not for them to tell me how many condoms I can have… This was the 3rd or 4th time this happened to me in DC.[134]

Zinnia F., a transgender sex worker in the downtown area said,

Yes it happens, they say ‘why do you have so many condoms?’ No one walks around with a lot of condoms because of it. It happened to me two times, once last summer. This was in the K street area.[135]

Felicia C., a sex worker in Columbia Heights, told Human Rights Watch,

Oh yes, at 14th and Perry, on the 26th of December, the cops harassed me and told me to throw my condoms in the garbage. I told them ‘no I am not throwing them in the garbage! I don’t want to die!’[136]

Outreach workers also said that sex workers express a fear of being found by police in possession of condoms. Jenna Mellor, Director of Outreach for HIPS (Helping Individual Prostitutes Survive) runs the mobile outreach van that provides condoms, clean syringes, and other harm reduction materials to sex workers several times per week. Mellor told Human Rights Watch,

Fear of taking condoms is a real problem. Clients take fewer condoms than they need because they fear the police. They also hide condoms in their clothes, their wigs, their cleavage, in order to avoid being hassled by the police.[137]

Mellor also said that generally police are tolerant of the outreach van, but there have been occasions when police cars have followed the van. Recently, a police car waited for a transgender individual to visit the van, and then the officers got out of the car and stopped and searched her: “Some police are supportive and leave us alone, but it is by no means 100 percent supportive.”[138]

Monica B. facilitates the transgender support group at HIPS and does outreach to sex workers to let them know about the group:

Three months ago I was in the downtown area doing outreach. I give out condoms and let people know about the [HIPS] program. The cops stopped me and went through my bag, asked me what am I doing with all these condoms? I explained that I was an outreach worker and promoting my group. They did not arrest me but they sure gave me a hard time.[139]

Lina C., an African-American transgender sex worker, described a recent experience while “on the stroll” (an area where sex work regularly occurs):

Last summer I was on the stroll. I had just left the [HIPS] truck and they asked me why I had so many condoms. I said I had just come from the truck. They asked me my history, whether I had ever been arrested in the past. They also approached the truck to verify my story. They didn’t arrest me but they harassed me for 45 minutes.[140]

Some sex workers referred to a “3-condom rule” in the District of Columbia. Nila R. told Human Rights Watch that she received that information from a police officer:

In 2011 they locked me up in the 5th district. The cop told me I could have three condoms and threw the others out, I had ten altogether. Also, an open condom is a charge. I’ve been locked up for it, the cops told me they were locking me up for an open condom.[141]

Madison M., a sex worker interviewed at a motel in the northeast section of the city, stated,

I haven’t been hassled myself, but I heard there was a rule that you can only carry three condoms.[142]

Abuse of Transgender Women by Police

Transgender women were the majority of those we interviewed who complained about stops and searches for condoms, and their testimony described abusive behavior by police.

Jody B., a 23-year-old female-to-male transgender person stated,

The police ask constantly, ‘how much are you charging?’ In October I was coming out of the China theater in Chinatown on a date with my boyfriend. They stopped both of us, searched me, I had condoms in my purse. We talked our way out of it so they did not arrest us. Us transgenders, we get used to not reporting these things. It’s hard; I’m stepping back from being full-on transgender, because it’s hard.[143]

Lina C. said that police encounters were often traumatic:

I was arrested last year and it was humiliating. They defaced me. They took off my wig and stomped it on the ground, then handed it back to me when they put me in the car.[144]

Monica B. stated that in her outreach work she has observed this “defacing” behavior and other abuse occurring during police stops:

The police are often extorting for sex, taking out people’s falsies and dropping them on the street, this does not happen every day but it happens regularly.[145]

Response of Washington, DC Public Officials

Assistant Chief of Police Peter Newsham expressed concern that the police were discouraging the use of condoms among sex workers or any other member of the public. He said that condoms could be used as supplemental evidence collected “incident to arrest.” He explained that in Washington, DC, prostitution cases are not a high priority and that arrests that are made are usually “complaint-driven,” meaning members of the public have complained about activity in their neighborhoods. According to Chief Newsham, the emphasis is now on pimping and human trafficking cases, and the priority is to charge those who are exploiting the women involved. Chief Newsham asserted that condoms may be helpful as supplementary evidence in these cases and will continue to be collected at the scene.[146]

Further, Chief Newsham emphasized that searches must be made only if there exists probable cause for arrest. He was concerned to hear that people reported being stopped and searched in circumstances that suggested a lack of probable cause. He also expressed concern that transgender individuals were alleging “profiling” and other abuse, and asked if they had filed complaints. When hearing that people often feared filing police complaints, he emphasized that there were anonymous ways to make complaints and agreed to ensure that community members were aware of these methods.[147]

Chief Newsham expressed his concern that police were “editorializing” about condoms in a manner that conveyed a threat to arrest sex workers for possession of condoms. Newsham agreed to consider issuing guidelines prohibiting such commentary and to underscore for MPD officers the importance of encouraging condom use. He agreed to meet with public health and other city officials and members of the sex worker community to discuss steps that can be taken by MPD to address all of these issues.[148]

Judge Linda Kay Davis, the judge in the special “prostitution docket” of the Criminal Court said that in two years of presiding over individual prostitution cases she had never encountered condoms presented as evidence in her court.[149]

The US Attorney had no comment on the issue of condoms, or any other evidence in their cases, as a matter of policy.[150]

The Washington, DC Department of Health responded with concern to the findings of this report and agreed to consider proposals from community organizations for action before the International AIDS Conference.[151]

Los Angeles

HIV in Los Angeles

Los Angeles County is a sprawling area that is home to nearly 10 million people.[152] The County includes the City of Los Angeles and numerous smaller cities. Los Angeles County is the entity for which HIV and AIDS statistics are collected by the Los Angeles County Department of Public Health (LADPH) and the entity to which HIV funding is provided by the federal government.[153] In Los Angeles County, 59,500 persons are estimated to be living with HIV.[154]Forty percent of people living with HIV in Los Angeles County are Latino.[155] In 2012, 80 percent of new HIV diagnoses occurred in men who have sex with men and 11 percent in those who reported heterosexual contact. Among women, Latina women had the most new HIV infections (42 percent) compared to 39 percent in African-American women and 14 percent in white women.[156]

According to LADPH there are an estimated 926 transgender persons living with HIV in Los Angeles County.[157] The rate of HIV infection is difficult to determine because the size of the transgender population as a whole is uncertain.[158] Nevertheless, Los Angeles has a large and vibrant transgender community, and HIV infection is one of its greatest concerns. In 2001 several community organizations partnered with the LADPH to publish a study of transgender health.[159] The authors noted the lack of data concerning the health of a “marginalized and underserved population” and surveyed 244 male-to-female transgender persons.[160]

The 2001 LADPH report found a 22 percent HIV prevalence among the group, many of whom were not aware of their infection. Half of the participants had an annual income of less than $12,000, and half also noted that their primary income was derived from sex work. Despite a high level of knowledge about HIV transmission, condom use was inconsistent, with 29 percent of people who had exchanged sex for money or other goods in the last six months stating that they did not always use a condom. Thirty-seven percent reported verbal abuse or harassment by the police. The report concluded, among other recommendations, that HIV prevention programs tailored to transgender women in Los Angeles were “urgently needed.”[161]

Another transgender needs assessment conducted by LADPH in 2007 found that of 80 transgender persons surveyed, one in five was HIV-positive. Numerous factors associated with high HIV risk were identified, including sex work, unemployment, and transphobia. One-third of transgender persons surveyed had traded sex for money or other goods. The needs assessment was cited in the LADPH HIV Prevention Plan for 2009-2013, with the conclusion that transgender persons were a “priority and critical target population” for HIV prevention in Los Angeles.[162]

Increased condom distribution to high-risk groups is also a top priority for Los Angeles County Department of Public Health. Along with New York, Washington, DC, and San Francisco, Los Angeles is a participant in a funding initiative of the US Centers for Disease Control and Prevention (CDC), focusing on high prevalence urban centers as part of its implementation of the National HIV/AIDS Strategy. (Although the program is called the “12-cities” program, the entity receiving federal funding is the County of Los Angeles).[163]One of the required HIV prevention interventions for all “12-cities” program participants is increased condom distribution to high-risk populations. Los Angeles plans to accomplish this goal by increasing distribution to high-risk populations and by marketing a Los Angeles-branded condom.[164]

Public health officials have worked with the Los Angeles Police Department in the past to address law enforcement practices that were impeding efforts to prevent HIV. In 2005 Chief of Police William Bratton issued what has become known as “the Bratton Declaration,” an example of a best practice in bringing law enforcement, public health agencies, and HIV advocates together to ensure that drug users had access to syringe exchange programs without police interference. The Bratton Declaration established clear guidelines for all members of the LAPD to follow that emphasized the role of the city’s syringe exchanges in HIV prevention and prohibited officers from seizing syringes as evidence of drug possession from syringe exchange participants.[165]

A History of Police Abuse of Transgender People in Los Angeles

Public health and human rights advocates have documented a disturbing history of police abuse and harassment of transgender people in Los Angeles. The 2001 Transgender Health Study found that 37 percent of transgender persons surveyed had endured verbal abuse or harassment by the police. Amnesty International’s 2005 report Stonewalled: Police Abuse and Misconduct Against Lesbian, Gay, Bisexual and Transgender People in the United States documented Los Angeles Police Department (LAPD) police profiling of transgender persons as sex workers, verbal and physical abuse in the street, and cruel, inhuman, and degrading treatment in police custody.[166]A recent book co-authored by Andrea Ritchie, who served as a consultant on the Amnesty report, reported numerous incidents of police abuse in Los Angeles, including an alleged rape of a transgender woman by an officer of the LAPD.[167]

In April 2012 the Latino advocacy organization Bienestar released the results of a survey of Latina transgender women about their interactions with law enforcement in Los Angeles County.[168] Bienestar interviewed 220 Latina male-to-female transgender persons, 95 percent of whom were born outside of the United States and half of whom were undocumented. One in three described her employment status as “sex worker,” while nearly half reported currently exchanging sex for food, money, shelter, or drugs. The report found that the majority had been verbally harassed by the police, one in five had been physically assaulted by law enforcement, and one in four had suffered sexual assault by a law enforcement officer. For most survey participants, being profiled as a sex worker was a routine occurrence as people reported being stopped by police while waiting for the bus and coming back from the grocery store. Most incidents were never reported as people were afraid of further police abuse or immigration intervention. The report recommended improved trainings for officers interacting with transgender individuals, enforceable policies prohibiting abuse and misconduct, and appointment of a liaison between law enforcement and the transgender community.[169]

In April 2012 the Los Angeles Police Department issued new guidelines for interaction with transgender individuals.[170] Included in the guidelines is the “recognition that non-traditional gender identities and gender expressions do not constitute reasonable suspicion or prima facie evidence that an individual is or has engaged in prostitution or any other crime.”[171] Though issued less than three weeks after the Bienestar report, the new guidelines represent the culmination of several years of negotiation between city agencies, the transgender community, and HIV advocates. In 2009 the HIV Prevention Planning Council established a transgender task force that recommended numerous criminal justice reforms including a reconsideration of the practice of using condoms as evidence of prostitution.[172] This report was followed by formation of the Transgender Working Group (TWG), a coalition of community and legal organizations, city agencies, and the LAPD working to improve treatment of transgender persons in the city’s criminal justice system. The TWG also issued recommendations for criminal justice reforms that included ending the possession of condoms as evidence of prostitution.[173] The LAPD adopted some of these recommendations including guidelines for police interaction with transgender individuals, new procedures for assigning transgender persons to jail, and a transgender unit to be established in the women’s jail rather than assignment to male or female facilities according to biological sex.[174]

Condoms as Evidence of Prostitution

In 2010 the LAPD arrested 4,775 adults and 123 juveniles for prostitution-related offenses.[175] Arrests are most common under the statute prohibiting prostitution (Penal Code Section 647(b)) that makes it a misdemeanor offense to “solicit[] or … agree[] to engage in or … [to] engage in any act of prostitution.” The statute requires that there be an act “in furtherance” of the crime in order to convict.[176]A loitering statute also prohibits the act of loitering with intent to commit prostitution. Like New York’s law, California’s loitering statute is broadly drawn, permitting arrest on the basis of circumstantial evidence that includes beckoning passers-by, stopping vehicles, being in an area “known” for prostitution activity, and having engaged in any of these behaviors “or in any other behavior indicative of prostitution activity” in the six months prior to the arrest.[177]

In addition, California state law requires mandatory HIV testing for anyone convicted of a prostitution charge for the first time and anyone arrested with a prior prostitution-related conviction.[178] If arrested on prostitution charges again after testing positive for HIV, charges can be elevated from a misdemeanor to a felony charge, carrying a possible sentence of up to three years in prison.[179] Enhanced penalties for recidivism per se are not problematic, but here no sexual activity is required by the statute; the felony charges can be imposed solely on the finding of intent or agreement to commit prostitution after a prior prostitution conviction and a positive HIV test.[180] No data were available on the numbers of prosecutions in California under this statute. In one case, however, the defendant was convicted of felony prostitution, and the evidence against her included a previous positive HIV test and the “condoms in her purse.”[181]

According to sex workers in Los Angeles, condoms are commonly used as one of the bases for arrest for prostitution.

Kathy B., 46, is a transgender Latina woman who works in her husband’s skateboarding business. She was a sex worker until one year ago, and she told Human Rights Watch,

Yes I’ve had incidents with the police. The last one was December 2010 at a hotel…They searched my bag. I never consented to a search. And they found condoms in my bag, about four condoms. And they pulled them out, mocking me, and said ‘look what we have here.’…They gave me a ticket for escorting without a license.[182]

Alessa N., a transgender woman from Mexico, described an arrest that occurred in June 2010:

I was carrying condoms. They took the condoms out of my bag… I had six, and the condoms were part of the evidence. I went to jail.[183]

Outreach workers have also been harassed for distributing condoms. Bamby Salcedo works with the Transgender Service Provider Network in Los Angeles and is a long-time transgender activist. Ms. Salcedo told Human Rights Watch that the outreach workers on her staff had been stopped and questioned several times by the police for distributing condoms.[184]

The Three-Condom Rule

A belief that it was illegal to carry more than three condoms was pervasive among sex workers in Los Angeles.

Violet T., a sex worker who works indoors, asked Human Rights Watch,

The three condom rule, is it state law? …I’ve literally been walking around believing this. If there’s something on the books supporting this rule than that’s one thing. But if none of this is written in the law, how can they use condoms as evidence against us?[185]

Jamie G., a sex worker, said,

Everyone knows...more than three condoms and you’re a whore.[186]

Many people stated that the source of the widespread belief in the “three-condom rule” was the police.

Lola L., 53, a sex worker who also does street outreach, said,

The police have told me, when you’re in a high risk area, don’t carry more than three condoms on you because we can arrest you. And I’ve said, ‘how do I know what is a high risk zone?’[187]

One outreach worker stated that according to sex workers stopped by the police, two condoms was the limit:

I am an outreach worker. When I go hand out condoms, there are some girls who say to me ‘give me enough for the whole week.’ Others say they don’t want more than two, because if they have more than two, then I can be arrested for prostitution. This is what the police tell them, that if they have more than two condoms in their purse, they can be charged with an act of prostitution.[188]

Police Profiling as Sex Workers

Transgender women told Human Rights Watch that they were constantly stopped and harassed by the police on suspicion of sex work, often in the neighborhoods where they live, work, or go to school. Marsha P. said police used condoms to support the inference that she was engaging in sex work:

I work in a restaurant. And I have been stopped on the way home from work. I’ve been accused of being a prostitute because I am walking with two condoms in my pocket. And it’s not a crime.[189]

Bamby Salcedo from the Transgender Service Provider Network described police profiling as a serious and ongoing problem:

We’ve done protests in front of the police department about the continuous harassment to the community because some of the community members live in areas that might be ‘high risk’ or ‘hot areas’ but they have to go to the store, they have to take a bus, and just because they are walking they get stopped and harassed and sometimes arrested just because of where they are and who they are.[190]

Shayla Myers is a staff attorney at the LGBT Access to Justice Project in Los Angeles. Ms. Myers has been representing low-income transgender women for two-and-a-half years, primarily on a project dedicated to expunging criminal records in order to permit LGBT people to increase employment opportunities. Myers stated that condoms make it easy to arrest transgender women for prostitution under the loitering statute:

Being trans, walking, and carrying condoms: that’s enough to establish probable cause for arrest…Police need to stop profiling people. I have clients with 12, 13 convictions…I’ve heard folks say they are afraid of carrying condoms or they won’t take condoms.[191]

Immigration Consequences of Arrest for Prostitution

For undocumented sex workers, the immigration laws that penalize prostitution result in removal and other serious consequences. Joseph Weiner, staff attorney at the Immigrant’s Rights Project of the Public Counsel Law Center of Los Angeles, has had numerous transgender clients removed from the US as a result of prostitution convictions. In addition, some of his transgender clients who have obtained relief, such as asylum or relief from removal, have lost their status after conviction for prostitution while HIV-positive.[192]

As the Bienestar report noted, many incidents of police abuse and misconduct are not reported from fear of further bad treatment or deportation. Elaine A. explained,

I never filed a complaint against [a policeman] because I was afraid, I was afraid of getting deported. Many of the chicas don’t have papers.[193]

Fear of Carrying Condoms as a Result of Police Action

Many sex workers reported that they continued to carry condoms despite fear of arrest. Marsha P. stated,

Have I ever been afraid to carry condoms? No, because I know my rights in this country. Just because the police are not educated, that does not make me afraid. I always carry condoms in my bag…I am more afraid of getting sick than of the police.[194]

For many others fear of arrest, jail time, and conviction on prostitution charges overcame even the need to protect their health. Kathy B. stated,

When I was a sex worker, there was a time when I wouldn’t carry condoms because if the police found them, they could use them as evidence against me. In the past, when I was still a sex worker, I was afraid of carrying condoms.[195]

Iris L., a 47-year-old woman from Mexico said:

I only carry one or two condoms with me. I’m afraid of carrying condoms.[196]

Carol F., 28, is a transgender woman from Guatemala who does sex work. She was first arrested for prostitution when she was 13, in an incident in which Los Angeles police used condoms as evidence against her. Traumatized by that experience, she was afraid to carry condoms:

After that arrest, I was always scared. The condoms, I always found a place to hide them. And I stopped carrying three. I started carrying one or two… and then there were nights that I did have to work and I didn’t have a condom on me. There were times when I didn’t have a condom and needed one, and I used a plastic bag.[197]

Several sex workers told Human Rights Watch that fear of arrest due to immigration issues made them less willing to carry condoms. Serena L., a former sex worker who is now in school, said,

‘Condoms in purse’ was on my arrest report. I don’t carry condoms because this happened to me…if I get condoms, I keep them in a separate bag. I don’t keep them in my purse. Especially now that I am trying to fix my [immigration] status.[198]

Police Abuse, Harassment, and Misconduct

Sex workers reported verbal and physical abuse and neglect of duty on the part of the police. This was particularly true for transgender sex workers.

Kathy B. told Human Rights Watch of her arrest by two officers in a hotel:

I was wearing a jacket and blouse. And they opened my blouse and started taking pictures. He violated my privacy. But the main official told me ‘shut up unless you want to go to jail.’ I said ‘I know my rights. He doesn’t need to take pictures like that.’ So he closed my blouse and continued taking pictures.[199]

Bamby Salcedo of the Transgender Service Provider Network described several incidents of ill treatment of her clients by LAPD. She said that a few weeks before Human Rights Watch interviewed her in March 2012, she had assisted one woman who had been arrested and had condoms used against her as evidence of prostitution:

[A few weeks ago], she was actually arrested because she was on a particular corner and she had condoms on her…[but] it was more about how she was treated…The arresting officers kept calling her ‘sir’ …The way the police talk to people in general when it comes to a trans person, they have no respect.[200]

Ms. Salcedo explained that she helped this woman file a complaint, but often the victims are reluctant to do so:

We help them, sometimes we will go to court with them. But a lot of times they don’t want to out of fear of retaliation. Because the same officers are the ones out patrolling, and the girls don’t want to continue to deal with that.[201]

Carol F. told Human Rights Watch that she had been sexually assaulted by someone from her church. Although she reported the assault to the police, the case was not pursued. Carol stated,

The police officer said ‘I’m just a little suspicious because you have a history of prostitution.’....I said ‘you mean I can be sexually assaulted because I was arrested when I was 13?’[202]

Brenda del Rio Gonzalez, a health educator and outreach worker with Bienestar, works with Latina transgender sex workers in Los Angeles. Brenda said that when these women are crime victims, they are afraid to complain for fear of ill treatment and deportation. One woman told Brenda,

I don’t trust the police. Because when you try to report a crime against you, they mock you and call you names. ... They say, ‘you’re a hooker. Do you have a penis? Do you have a dick? Do you have documents?’[203]

Response of Los Angeles Public Officials

The Los Angeles Police Department (LAPD) told Human Rights Watch that they maintain a strong enforcement campaign against prostitution, largely in response to citizen complaints about the activity occurring in their neighborhoods. Lt. Patrick Shields, officer in charge of the Special Enforcement Section, stated that condoms are useful in proving an act in furtherance under 647(b) and in supporting charges under the loitering statute. He expressed concern about the public health issues raised by the practice and stated that the department did not want to discourage anyone from carrying condoms. Lieutenant Shields denied that there was a two or three condom “rule” to guide official practice. However, Lieutenant Shields defended condoms as targets of stops and searches of persons suspected of prostitution, stating that “the average citizen isn’t walking around with condoms in their pocket.”[204]

With regard to complaints regarding profiling and interaction with transgender persons, Lieutenant Shields stated in a written response that the LAPD “takes an active role in continually working with the community and those individuals that may change their gender identity, gender expression, and/or sexual orientation.”[205] Shields indicated that there is a class at the Police Academy to sensitize officers to the issues faced by transgender people, as well as a department liaison to that community, stating that LAPD takes a “strong stance against discrimination.”[206]

The Office of the City Attorney of Los Angeles stated that they did not wish to discourage people from carrying condoms, but they had seen no evidence that this was occurring among those arrested for sex work. According to Mary Claire Molidor, deputy chief of the Safe Neighborhoods and Gang Division, it is “rare” that persons arrested for prostitution do not have condoms in their possession.[207] Deputy Chief Molidor stated that condoms are “not a focal point” for filing prostitution charges, but they are routinely catalogued as evidence and would be introduced at trial in support of these charges as probative evidence. According to Chief Molidor, condoms would be particularly probative evidence where there were a large number of condoms in someone’s possession or at a business site such as a massage parlor.[208]

The Los Angeles County Department of Public Health declined to comment, stating that LADPH “does not comment on activities or policies of the Los Angeles Police Department.”[209]

San Francisco

HIV in San Francisco

San Francisco has played a unique and profound role in the history of the HIV epidemic in many respects. The city reported its first AIDS diagnoses in 1981, cases now recognized to be among the earliest incidents of HIV to be reported in the United States.[210] A history of gay activism that included the election in 1977 of the country’s first openly gay municipal official, Harvey Milk, provided the foundation for a strong civic response to HIV in the next decade. The Kaposi Sarcoma Foundation, founded in 1983, was one of the first grassroots organizations formed in response to HIV. A candlelight vigil held in San Francisco in October 1983 was the first public gathering of people living with HIV.[211]

Before the advent of combination anti-retroviral therapy in the mid-1990s, San Francisco was devastated by the disease. Nearly 20,000 people, mostly gay men, have died from AIDS since the epidemic began, approximately 1 in 40 residents of the city.[212] The epidemic in San Francisco has stabilized, with a slight decline in the total number of new infections in 2009.[213]In January 2011 there were 18,576 people living with HIV in San Francisco, 2.3 percent of the population. HIV in San Francisco remains concentrated in men who have sex with men, injection drug users, and men who fall into both categories. In 2010 three percent of persons living with HIV in San Francisco were heterosexual, and two percent were transgender.[214]

Racial disparities in relation to HIV are less evident in San Francisco than in the United States generally. In San Francisco the majority (63 percent) of persons living with HIV are white, and 16 percent are African-American.[215]These figures still indicate a disproportionate impact of HIV on the African-American community, however, as African-Americans comprise only 6 percent of San Francisco’s population.[216] Latinos are 15 percent of the population and 14 percent of people living with HIV.[217]

Overall, new infections in San Francisco have declined, but “the epidemic is moving fastest among transfemales,” according to the San Francisco Department of Public Health, with new infections occurring at a rate of 2.5 percent.[218] Overall, more than one in three transgender women in San Francisco is estimated to be infected with HIV. The San Francisco Department of Public Health conducted a targeted study in 2010 on HIV prevalence among transgender women and found that 40 percent of participants were HIV-positive. Compared with all HIV cases diagnosed during the same period, transgender women with HIV tended to be non-white (71 percent were African-American) with higher rates of injection drug use. Only one in five transgender women with HIV participating in the study had an income greater than US$21,000 per year.[219]

Condoms Barred As Evidence of Prostitution in 1994

Since the early years of the epidemic, San Francisco’s approach to HIV prevention has been characterized by a mobilized, pro-active community of people living with HIV working in partnership with the Department of Public Health and other city agencies. This collaborative approach became known as the “San Francisco Model,” emphasizing communication that is positive and non-judgmental about sex and harm reduction rather than abolition of risky practices. Importantly, structural change has always been an important component of this approach, exemplified by early and consistent involvement of the Mayor, Board of Supervisors, and other city institutions in the fight against AIDS.[220]

In this environment of activism and sexual tolerance, Margo St. James and other advocates for sex workers first addressed the issue of condoms as evidence of prostitution in the late 1980s. The organization Call Off Your Tired Old Ethics (COYOTE), founded by St. James, campaigned during this period for greater education of sex workers and their clients about the developing AIDS epidemic and fought to prevent the scapegoating of sex workers for spreading the disease. In 1993 St. James and other advocates pushed to create a Task Force on Prostitution in the San Francisco Board of Supervisors for the purpose of “separating fact from fallacy” about prostitution and “recommending social and legal reforms that best respond to the City’s needs while using City resources more efficiently.”[221]

As it does today, California Penal Code Section 647(b) made it a misdemeanor offense to “…[solicit] or….[agree] to engage in or [to] engage in any act of prostitution.” The statute required that there be an “act of furtherance” of the crime in order to convict.[222] It was in proving an “act of furtherance” that condoms were being used as evidence by police and prosecutors. In May 1994, in response to a proposal submitted by the Task Force, the Board of Supervisors enacted a non-binding resolution urging that the San Francisco Police Department and the District Attorney “shall no longer confiscate and/or use the fact of condom possession for investigative or court evidence in prostitution-related offenses.”[223]Among the grounds cited in support of the resolution were findings that using condoms as evidence discourages condom use and undermines city policy for HIV prevention. The resolution also found that the law enforcement value of condoms was outweighed by the value of condoms for HIV prevention. The resolution cited the fact that the District Attorney had made similar accommodation for syringe exchange programs for reasons of public health.[224] See Appendix C for full text of the resolution.

District Attorney Arlo Smith responded to the resolution by agreeing to suspend the utilization of condoms as evidence for a trial period, noting in a letter to the Director of Public Health that, “in some of our cases currently, condoms are needed as an element to prove the ‘act of furtherance’ in order to prove the case. We will be working with the Police Department to develop other evidence to prove the ‘act of furtherance.’” Smith’s letter concluded, “With this new policy we are trying to balance public safety and public health.”[225]The final report of the Task Force notes that in March of 1995 Smith’s office announced that they would permanently cease using condoms as evidence of prostitution, but no other information was available regarding the District Attorney’s implementation of this policy.[226]

Anti-Prostitution Enforcement in San Francisco

In addition to California Penal Code Section 647(b), California law also prohibits “loiter[ing] in any public place with the intent to commit prostitution.”[227] Other prostitution-related offenses in California include pimping, prevailing upon a person to visit a house of prostitution, and violations of the commercial-business regulations.[228] The majority of people arrested for prostitution in San Francisco—both the alleged providers as well as the patrons—are offered participation in “diversion” programs.[229] These programs may offer alternatives to incarceration, but arrest still has negative consequences, particularly for immigrants for whom arrest can trigger removal, inadmissibility, or mandatory detention.[230]

According to the San Francisco Police Department (SFPD), prostitution arrests are not a priority for the Department: “As a city, we’re pretty morally open, and we don’t get a lot of complaints about prostitution. We don’t have a lot of ‘tracks’ where prostitution occurs,” said Lt. Jason Fox, supervisor of the Special Victims Unit of the SFPD.[231] Prostitution is still enforced in San Francisco, however. Complete data on prostitution arrests for San Francisco are not available, as the SFPD does not maintain centralized or complete records for this offense.[232]However, from May through August 2011, 168 people were arrested for prostitution under Penal Code Section 647(b) or loitering with intent to commit prostitution under Penal Code Section 653.22.[233]These arrests were supported by a federal stimulus grant focused on combatting sex trafficking. The broad language of the grant promoted street prostitution arrests in order to “decrease demand for human trafficking in the San Francisco Bay Area.”[234]

Condoms as Evidence of Prostitution

In San Francisco, notwithstanding the 1994 Board of Supervisors resolution, condoms are used as evidence to support prostitution arrests. This practice is not pervasive, but it does occur on a regular basis. Naomi Akers is the executive director of the St. James Infirmary, the first and still the only occupational health clinic offering a continuum of health care and social services to sex workers in San Francisco. According to Akers,

Much of the sex work in San Francisco has moved to inside locations or the internet. We don’t have a huge problem with police using condoms as evidence of prostitution as compared to other cities, but the problem has been increasing since about 2005. The end result has been sex workers [are] more reluctant to take more than a few condoms at a time.[235]

Police photograph condoms in connection with a stop or an arrest. Cyd Nova, a peer counselor for sex workers at the St. James Infirmary, stated,

I have been a peer counselor for sex workers for three years, and during that time numerous sex workers have told me about being harassed for condoms and having condoms photographed as a basis for arrest…Eight months ago I was in the Tenderloin [district] and I was with a woman who was stopped for suspicion of sex work. She was searched and the police photographed her condoms, I saw this. They did not end up arresting her.[236]

Lt. Fox stated that SFPD will, “on occasion,” photograph condoms as part of a prostitution arrest.[237] “Photographs of condoms help with the ‘act in furtherance’ or ‘intent’ part of the crime, but we don’t want to confiscate them because we are aware of the public health concerns, so we photograph them,” Fox told Human Rights Watch.[238]

Attorneys from the city’s Public Defender Office, however, told Human Rights Watch that the use of condoms in prostitution cases is more than “occasional,” as the office defended at least eight cases involving condoms as evidence of prostitution in the last year.[239]Copies of documents filed in two cases relying on condoms as evidence, including photographs of condoms, may be found in Appendix D.

Reports about condoms as evidence in the transgender community are mixed. Jessi Ross, outreach coordinator for St. James Infirmary, stated that transgender sex workers in the Polk Street area have refused to take more than a few condoms, telling her that they fear police harassment.[240]However, other people said that harassment or arrest for condoms was not a problem. Maryanne P., a sex worker who does HIV prevention outreach to transgender sex workers, stated,

The police harass transgenders who are in prostitution zones, but condoms aren’t involved. They harass them anyway and move them along whether or not they have condoms.[241]

Human Rights Watch interviews at a transgender support group, a transgender advocacy center, and an LGBT youth health clinic resulted in no reports of police harassment or arrest for condoms.[242]

Police in San Francisco are photographing condoms in order to avoid destroying or confiscating them out of a concern for the public health. But the photographs are still used as evidence, and this can have the same effect as a deterrent to condom use. Peer counselor Cyd Nova explained,

Harassing people for condoms, photographing condoms, word gets around. It doesn’t take a lot of incidents to make people fearful of carrying condoms…I have a client now who won’t carry any at all for fear of police activity. We have been working on various ways to help her deal with her fear, like how to hide them and things like that, but as of now she isn’t carrying any while she is working.[243]

Targeting Businesses

Human Rights Watch found that in San Francisco, police targeted businesses such as erotic dance clubs, massage parlors, and a transgender nightclub for anti-prostitution enforcement. In some cases this interfered with their willingness to make condoms available on the premises.

Multiple state laws regulate and prohibit prostitution in a commercial setting, including The Red Light Abatement Law (declaring any premises where prostitution occurs to be a public nuisance),[244] keeping a “disorderly house” which includes prostitution,[245] and keeping or residing in a “house of ill-fame.”[246]

The Business and Professions Code Section 24200 regulates licensing to serve alcohol in California. Prostitution is specifically identified by this statute as grounds for revocation of a liquor license as the definitions of activities such as those “contrary to public welfare and morals,” “any public offense involving moral turpitude,” and permitting an “objectionable condition on the… premises” all include prostitution.[247] The Department of Alcohol and Beverage Control (ABC) operates with independent police powers conferred by the Constitution of California which gives ABC the exclusive authority to enforce these provisions and to adjudicate license revocation cases.[248] California courts have granted ABC “broad discretion to revoke or suspend liquor licenses ‘for good cause’ if continuing the license would be contrary to the public welfare or morals.”[249] ABC can make arrests for prostitution on commercial premises, and then suspend or revoke the license of the premises on the basis of these arrests. The use by ABC of decoy undercover agents to enforce anti-prostitution provisions has a long history and has been consistently upheld by the courts.[250] In addition California law strictly regulates premises where topless or nude dancing occurs, whether they serve liquor or not.[251] Undercover agents are used routinely to enforce these regulations.[252]

In 2005, 11 erotic dance clubs in San Francisco were the targets of a federal lawsuit alleging violation of the anti-prostitution laws. Six individual dancers and an erotic dance club in San Francisco sued a company that, at that time, owned multiple erotic dance clubs in the city, for numerous labor and employment violations in the United States District Court in San Francisco.[253] The complaint alleged, in part, that clubs owned by this company were engaging in unfair labor practices and unfair business competition by permitting, and in some cases encouraging, prostitution on the premises of clubs they owned and operated in San Francisco. The dancers alleged that prostitution was encouraged at the clubs while the competitor club claimed that its own compliance with state anti-prostitution laws was damaging its ability to compete in the city.[254]

The pleadings filed in this lawsuit were replete with references to condoms as evidence of prostitution activity. The complaint cited reports from SFPD undercover agents and affidavits filed by individual plaintiffs describing their experiences working at the clubs. These documents contained 16 references to condoms and revealed a pattern of use of condoms as evidence by SFPD for prostitution charges at clubs throughout the city.[255]According to Naomi Akers, executive director of the St. James Infirmary, the clinic’s outreach workers have found that some erotic dance clubs, including some owned by this company, are reluctant and in some cases unwilling to accept condoms for delivery to the women working in the club. In December 2008 and February 2009 outreach workers from St. James reported these incidents to Ms. Akers in writing:

The bouncers almost did not take the outreach bag, because of the condoms, and expressed concern that we as outreach workers were condoning prostitution in their club… Apparently the owner… had told many [of his] clubs to forbid outreach workers from entering the clubs.[256]

Jessi Ross, outreach coordinator for St James Infirmary, stated that some of the erotic dance clubs continue to refuse to take condoms:

Our outreach has focused mostly on businesses in the last year. We go in with bags of safe sex materials including condoms as well as outreach information about the clinic and other materials…Some businesses either won’t let us in at all or won’t take condoms because of fear of the police. There are strip clubs where we have to take the condoms out of the bag before they let us in to take the bags to the girls that work there.[257]

Renee K., an erotic dancer at a club included in the lawsuit, told Human Rights Watch,

Even though it is not supposed to, sex does happen at some of the clubs in the city, some much more than others. The clubs that serve liquor are stricter about not letting the girls do sex work on site, and they don’t want condoms because it would send a mixed message. You’re not supposed to be doing that, so why have condoms around?[258]

In 2005 another San Francisco business was subject to anti-prostitution enforcement that relied on the use of condoms as evidence. The California Department of Alcoholic Beverage Control conducted numerous undercover operations at Diva’s, a nightclub that welcomed transgender clientele, making several arrests for prostitution. These arrests were then cited as the basis for suspending the club’s liquor license on the basis that the bartenders had failed to prevent prostitution activity at the club. The owner appealed and the license was conditionally reinstated, but the ABC Appeals Board opinion contains multiple references to condoms as evidence of the bar’s complicity in permitting prostitution.[259]

Alexis Miranda, manager and show director of Diva’s nightclub, described her response to the charges brought by ABC:

We are the only transgender-specific nightclub in California. They [ABC] have targeted us many times in the past. When they suspended our license, I had to go in and say ‘why is every gay bar and every straight bar allowed to distribute condoms and we are not? Why are transgenders promoting prostitution when we use a condom?’ I asked the judge that.[260]

Miranda stated that ABC has not bothered Diva’s lately and she insisted that the proceedings have not deterred Diva’s from making condoms available on the premises: “It is not against the law to distribute condoms, and we have not let it change our approach.”[261]

According to outreach workers at St James Infirmary, however, Diva’s willingness to take condoms was not consistent.[262] In addition, one patron told Human Rights Watch,

There used to be condoms at Diva’s but not recently, not on the bar or on the counters. I heard they’ve been hassled by the cops, I’m not sure why.[263]

Massage businesses also have been the target of law enforcement activity that included the use of condoms as evidence. In San Francisco the Municipal Health Code establishes requirements for obtaining permits for the operation of massage businesses, including certification of practitioners, hours of operation, and required sanitary facilities. Although primary responsibility for regulating massage operations lies with the Department of Public Health, Section 1929 of the Code states that the director shall work with the chief of police on “issues of common concern affecting the massage industry, such as trafficking.”[264]

California’s human trafficking law prohibits false imprisonment or violation of the personal liberty of another for the purposes of coercive labor, sexual services, or compensation.[265]In July 2005 federal and state agents arrested 45 people as part of a smuggling and human trafficking ring alleged to be operating out of massage businesses in San Francisco and Los Angeles. This operation, called “Operation Gilded Cage,” seized $3 million in illegal proceeds and closed more than 100 Korean massage parlors in the two cities.[266]Following Operation Gilded Cage, the mayor of San Francisco, Gavin Newsom, made targeting massage businesses for sex trafficking crimes a hallmark of his administration. Mayor Newsom created a Massage Parlor Task Force in 2005 to unite city agencies, including the Department of Health, in a focused effort to identify sex trafficking in the city’s massage industry. According to the mayor’s 2009 Report to the Board of Supervisors, his administration took multiple steps intended to “eliminate sex trafficking in San Francisco,” including a joint city task force for monthly inspections of massage businesses, resulting in the closing of 36 massage establishments between 2006 and 2009. Under Mayor Newsom the city also increased civil penalties and fines for violation of the public health codes and stepped up the use of the Red Light Abatement Law to evict massage businesses.[267]

By 2010, 70 massage businesses had been shut down in San Francisco, but Mayor Newsom expressed his frustration at the inability to impact illegal activity:

It’s a bit of a whack-a-mole- as soon as you shut down two or three here, they open up someplace else under another name.[268]

According to news reports, condoms were used as evidence by the Massage Parlor Task Force:

All three parlors inspected Wednesday had double or twin-size beds, authorities said. Inspectors said they had found a used condom under a bed in one of the parlors. “You don't find ruffled beds and condoms in real massage parlors,” said Lane Kasselman, a policy analyst for Newsom who was along for the inspection.[269]

Naomi Akers recalled that a representative of the Massage Parlor Task Force gave St James Infirmary a presentation on their activity:

A few years ago a police officer from the Task Force gave us a slide show about their inspections of massage parlors, which he called ‘raids.’ He had a slide showing a picture of a bleach container that the owners had hidden under a table, it was filled with unwrapped condoms and he described it as evidence of illegal activity.[270]

San Francisco Police Department continues to accompany Department of Health Environmental Health Unit employees in unannounced inspections of massage businesses. SFPD stated that prostitution arrests are no longer routine, and condoms are not the focus of the current inspections, which were described as “educational and health” oriented and designed to identify health code violations and inform potential trafficking victims of their rights and the services available.[271]According to Lt. Jason Fox of the SFPD, who accompanies the health department on these inspections,

We’re very victim-oriented in our human trafficking work. We are not looking for prostitution at the massage parlors. We want women who might be trafficked to know they can come forward.[272]

But the legacy of the Massage Parlor Task Force is a fear of law enforcement on the part of the massage business owners, a fear that makes many unwilling to have condoms on the premises. A 2003 study of HIV risk among women working at Asian-owned massage businesses in San Francisco showed that women exchanged sex for money on the premises but that owners consistently made condoms available on site.[273]This is not the case today. Massage business owners and employees declined to speak with Human Rights Watch, but outreach workers who regularly communicate with the massage parlor owners and employees told Human Rights Watch that owners fear taking condoms due to the raids.[274]

Dr. Jeffrey Klausner, deputy health officer for the city of San Francisco from 1998-2010, described his experience working with owners of massage businesses:

Under Mayor Newsom’s push for anti-trafficking enforcement, the heat on the massage parlors increased and became very public, with the Mayor accompanying news media on the raids, and all that. I have spoken with many massage parlor owners who have told me they fear having condoms on the premises due to the environmental health inspections and that they hide condoms because of this. We know that sex happens in some of these businesses, so we need to practice harm reduction. From a public health perspective, fear of condoms is not what we want.[275]

Response of San Francisco Public Officials

Marshall Khine, assistant District Attorney in charge of the sex crimes unit, told Human Rights Watch that he had not heard of the 1994 agreement to refrain from using condoms as evidence. According to Mr. Khine, the agreement, “hasn’t passed down through the generations” of District Attorneys.[276] Mr. Khine, who stated that he prosecutes approximately 20 pimping, pandering, and human trafficking cases per year, “may have two cases” that involve condoms collected by police at the scene. In these cases condoms are usually not primary, but supplemental evidence. Mr. Khine told Human Rights Watch that he understands the public health issue with using condoms as evidence of prostitution, but “would have to think about” whether the Office of the District Attorney would support a prohibition on use of condoms as evidence.[277]

The San Francisco Police Department acknowledged the department policy to photograph condoms to support loitering for prostitution charges. Lieutenant Fox said that the SFPD “does not want to discourage condom use,” but was not concerned that owners of businesses where sex might be occurring were reluctant to make condoms available:

Maybe someone running an illegal brothel might fear having condoms around, that’s on them.[278]

The Department of Alcoholic Beverage Control issued the following statement in response to an inquiry from Human Rights Watch, and declined further comment:

It is assumed each case involving prostitution is unique. While the display or distribution of condoms in a bar or nightclub setting may in some case be an indicator of prostitution activity, it is also recognized by the ABC and California law enforcement in general that such open display/distribution is accepted among business owners in many communities for health-related reasons, to help prevent sexually transmitted diseases. Condoms can be purchased at drug stores, grocery stores, vending machines, gas stations, bars and the internet, and are distributed free at many STI and HIV clinics. However, in prostitution cases, when undercover law enforcement officers do request sex acts and conduct money talk as part of their enforcement work, and if the suspected prostitute has a condom as part of the furtherance of the crime after the solicitation is made, the condom might be used as evidence.[279]

Israel Nieves-Rivera, director of policy and HIV prevention for the San Francisco Department of Health, was not aware of the 1994 Board of Supervisors resolution, but expressed concern about the use of condoms as evidence of prostitution. Mr. Nieves-Rivera stated,

We need universal access to condoms in the city so all businesses feel comfortable and encouraged to make condoms available.[280]

Mr. Rivera stated that the San Francisco Department of Health HIV Prevention Plan for 2012-2015 identified heavy alcohol use as one of the primary drivers for HIV risk as it increases the likelihood that individuals will engage in risky practices. Promoting a structural response to this problem, the HIV Prevention Planning Council recommended passage of legislation requiring condoms at all places that serve liquor in the city, and proposed working with the state Department of Alcoholic Beverage Control on this issue.[281]

With regard to the massage businesses, Mr. Nieves-Rivera stated,

As far as the massage parlors, we believe we need a coordinated response among the sections of the health department such as HIV and STD prevention and Environmental Health. We also need to continue our partnership with the SFPD, since we are all ‘public safety officers.’ We are open to building on our success with syringe access and meeting with the SFPD, the District Attorney, and the Human Rights Commission to discuss this further and develop a plan. [282]

The Human Rights Commission of San Francisco is concerned about the use of condoms as evidence of prostitution. Former Commissioner Cecelia Chung and current Executive Director of the Commission Theresa Sparks plan to convene an inter-agency meeting and public hearing to address the issue.[283]

Human Rights Obligations

Right to HIV Prevention and Access to Condoms

HIV is a potentially fatal disease, and other sexually transmitted diseases increase the likelihood of HIV infection. Police interference with the ability to access means of HIV prevention, whether in the form of information from peers or condoms, impedes the rights to life and to health and is incompatible with human rights standards.

The Universal Declaration of Human Rights guarantees to every person the right to health and well-being as well as life, dignity, and the right to be free from discrimination.[284]The International Covenant on Civil and Political Rights (ICCPR), a treaty signed and ratified by the United States, guarantees to every person the right to life, a fundamental right that is implicated in any policy that interferes with the prevention of HIV.[285] Indeed, the treaty has been interpreted to require states to take positive steps to curb epidemics and other threats to the public health.[286] Police action that undermines HIV prevention efforts by impeding condom use is incompatible with essential protections guaranteed by the ICCPR.

The right to access condoms and related HIV prevention services is also an essential part of the human right to the highest attainable standard of health. The International Covenant on Economic, Social, and Cultural Rights (ICESCR) obliges state parties to take steps “necessary for... the prevention, treatment and control of epidemic... diseases,” including HIV. [287] United Nations bodies responsible for monitoring implementation of the ICESCR have interpreted this provision to include access to condoms and complete HIV information. [288] The Committee on Economic, Social and Cultural Rights, the UN body responsible for monitoring implementation of the ICESCR, has interpreted article 12 as requiring “the establishment of prevention and education programmes for behaviour-related health concerns such as sexually transmitted diseases, in particular HIV.” [289] The committee notes,

States should refrain from limiting access to contraceptives and other means of maintaining sexual and reproductive health, from censoring, withholding or intentionally misrepresenting health-related information, including sexual education and information, as well as from preventing people’s participation in health-related matters.... [290]

According to the committee, the ICESCR not only obliges governments to establish these programs “expeditiously and effectively,” it also prohibits them from “interfering directly or indirectly with the enjoyment of the right to health.”[291] Policies that frustrate HIV prevention by limiting access to condoms fit this description. Further, ICESCR protects against discrimination in health prevention on the basis of gender, social status, or other factors and obligates governments to protect the health rights of marginalized members of society. Indeed, the committee deems the right of access to health facilities, goods and services on a non-discriminatory basis, especially for vulnerable or marginalized groups, to be a “core” obligation essential to the right to health.[292] In the United States ICESCR has been signed but not ratified. However, the government is not without obligation under the ICESCR, as a signatory must refrain from taking steps that undermine the intent and purpose of the treaty.[293]

International law also protects the right of all women to control their reproductive and sexual health. The Convention on the Elimination of all forms of Discrimination Against Women (CEDAW), a treaty the US has signed but not ratified, clearly establishes the right to make informed decisions about safe and reliable contraceptive measures, to access family planning information, education, and “the means to enable them to exercise these rights.”[294]

The International Guidelines on HIV/AIDS and Human Rights, non-binding but authoritative interpretations of human rights law applicable to HIV, address the fact that marginalized populations, including sex workers, have experienced discrimination and been denied equal access to HIV prevention services:

HIV prevalence has grown among groups most marginalized, such as sex workers, drug users, and men having sex with men. Coverage of interventions to educate people about HIV; to provide them with HIV prevention commodities, services, and treatment; to protect them from discrimination and sexual violence; and to empower them to participate in the response and live successfully in a world with HIV is unacceptably low in many parts of the world. [295]

Law enforcement agencies are charged with enforcing anti-prostitution laws. But enforcement must be consistent with international human rights obligations, including the right to health, which is also an element of public safety that is the province of the police. [296] Noting that sex workers frequently suffer human rights abuses due to the legal status of their work, the United Nations Joint Programme on AIDS (UNAIDS) recommends,

With regard to adult sex work that involves no victimization, criminal law should be reviewed with the aim of decriminalizing, then legally regulating occupational health and safety conditions to protect sex workers and their clients, including support for safe sex during sex work. Criminal law should not impede provision of HIV prevention and care services to sex workers and their clients. [297]

The UN Guidance Note on HIV and Sex Work references the vulnerability to HIV infection among sex workers, a fact that “reflects the failure to adequately respond to their human rights and public health needs.”[298]The UN Guidance Note states,

Condoms, both male and female, are the single most effective available technology to reduce the sexual transmission of HIV and other sexually transmitted diseases. Condoms must be readily available for sex workers and their clients, either free or at low cost, and conform to global quality standards…harassment by law enforcement officers reduces the ability of sex workers to negotiate condom use; governments and service providers should address such factors to maximize the impact of condom programming focused on sex work.[299]

Access to information and services for HIV prevention is protected by article 19 of the ICCPR which is binding on the United States and which guarantees the “freedom to seek, receive and impart information of all kinds…”[300]The Committee on Economic, Social, and Cultural Rights has similarly stated that “information accessibility” is an essential element of the right to health. Some of the most effective—and indeed sometimes the only—outreach workers for HIV prevention to marginalized people are their peers. When laws and policies equating condoms with criminal activity interfere with the efforts of sex workers to distribute condoms to their peers, access to health is significantly undermined.

Police and prosecutors claimed that condoms are necessary tools to enforce anti-prostitution laws. In legal systems everywhere, however, rules of evidence reflect considerations of public policy. The “rape shield laws” provide an example. These statutes, codified as Federal Rule of Evidence 412 and in the laws of every US state, exclude evidence in a rape trial that relates to the sexual history of the victim.[301] This exclusion represents the determination of Congress and state legislatures that encouraging rape victims to report sexual assault and other policy goals outweigh any probative value of this type of testimony.[302] Similarly, evidence is regularly excluded on grounds of the physician-patient, attorney-client, and other privileges, exclusions that have been explained by legal authorities as reflecting “a principle or relationship that society deems worthy of preserving and fostering,” despite the potential probative value of such evidence.[303] Here public policy considerations include not only advancing public health and HIV prevention efforts but also protecting the right to use and possess contraceptive devices, a right guaranteed to every person by the US Supreme Court as part of the fundamental right to privacy.[304]

Right to Liberty and Security of the Person and Freedom from Arbitrary Detention

The right to health is closely related to and dependent upon the realization of other human rights. In addition to protection of all persons from discrimination on the grounds of sex, race, “or other status,” the ICCPR guarantees the rights to “liberty and security of the person” and to be free from “arbitrary arrest or detention.”[305]The 4th Amendment to the US Constitution protects the right to be free from “unreasonable search and seizure” by police. Broadly drawn loitering statutes such as those in New York, California, and in the “prostitution-free zones” in Washington, DC are problematic under these human rights standards.[306] The circumstantial evidence that permits police to stop, search, and arrest under these statutes (such as clothing, location, and being “known” as a prostitute), also enables unjustified interference with lawful activity and arbitrary and preemptive arrests on the basis of profile, or status, rather than criminal conduct.[307]

Persons interviewed for this report testified to being stopped and searched while doing nothing illegal, including walking home, returning from school, and waiting for the bus. Profiling of transgender persons as sex workers is specifically prohibited by police guidelines in both Washington, DC and Los Angeles, but the vague and sweeping language in the loitering and anti-prostitution statutes appear to promote this discriminatory practice. The Yogyakarta Principles, standards endorsed by independent legal experts from 25 countries that apply existing international human rights law to sexual orientation and gender identity, call for an end to laws that promote profiling and other inequality before the law:

States shall take all necessary legislative, administrative, and other measures to ensure that sexual orientation or gender identity may under no circumstances be the basis for arrest and detention, including the elimination of vaguely worded criminal law provisions that invite discriminatory application or otherwise provide scope for arrests based on prejudice.[308]

In 2011 the United States government investigated complaints of police profiling transgender persons as sex workers in New Orleans. The Department of Justice reported,

We also found reasonable cause to believe that New Orleans Police Department (NOPD) practices lead to discriminatory treatment of LGBT individuals. In particular, transgender women complain that NOPD officers improperly target and arrest them for prostitution, sometimes improperly fabricating evidence of solicitation for compensation.[309]

The Department of Justice concluded that the New Orleans Police Department “failed to implement adequate policies and provide adequate training on how to identify and articulate suspicion based on behavior and other permissible factors.”[310]Similar federal oversight is required for police interactions with transgender persons in New York, Washington, DC, and Los Angeles.

Another problematic law affects sex workers in San Francisco and Los Angeles. California law mandates HIV testing for anyone convicted of prostitution.[311] Mandatory HIV testing is incompatible with international human rights standards and undermines, rather than promotes, the public health. Compulsory testing is counterproductive as it frequently drives sex workers away from essential public health services.[312] International guidance, including by the World Health Organization and UNAIDS, has explicitly rejected mandatory HIV testing in all forms.[313] As stated in the UNAIDS Guidelines on HIV/AIDS and Human Rights, these laws are often imposed upon the most vulnerable people in society:

Compulsory HIV testing can constitute a deprivation of liberty and a violation of the right to security of the person. This coercive measure is often utilized with regard to groups least able to protect themselves because they are within the ambit of government institutions or the criminal law, e.g. soldiers, sex workers, prisoners, and men who have sex with men. There is no public health justification for such compulsory HIV testing.[314]

A related California statute provides that when a person is found to be HIV-positive after a prostitution conviction, their charge on a second arrest for prostitution can be enhanced from a misdemeanor to a felony.[315]This law discriminates against people with HIV and is particularly unjust in light of police interference with sex workers’ rights to protect themselves from HIV infection.

Right to be Free from Cruel, Inhuman, and Degrading Treatment or Punishment

International and domestic law prohibits abusive and corrupt police practices including verbal harassment, humiliation, and demand of sex in exchange for leniency. Article 16 of the Convention Against Torture and Other Cruel, Inhuman, or Degrading Treatment (CAT), and article 7 of the ICCPR, both treaties signed and ratified by the United States, protect against cruel, inhuman, or degrading treatment in police custody.[316] Non-binding declarations adopted by the UN General Assembly, such as the UN Code of Conduct for Law Enforcement Officials, the UN Body of Principles for the Protection of Persons under Detention, and the UN Standard Minimum Rules for the Treatment of Prisoners have also become universal norms by which police behavior is evaluated.

Under the terms of these UN declarations on policing, law enforcement officials should treat all persons with compassion and respect for their dignity, and should not inflict, instigate, or tolerate any act of cruel, inhuman, or degrading treatment or punishment.[317]Effective mechanisms must be established to ensure the internal discipline and supervision of law enforcement officials.[318]Rape and sexual assault perpetrated or permitted by state officials in detention is considered torture.[319]

Sex workers, particularly transgender women in New York and Los Angeles, testified to multiple instances of police conduct that constitutes cruel, inhuman, and degrading treatment and violates the right to liberty and security of the person.[320] Police stops involving condoms as evidence frequently took place in a context of verbal harassment, physical abuse, humiliation, and extortion for sex both in and out of detention settings. Human Rights Watch found that for some we interviewed, fear of further ill treatment or removal from the United States if arrested for prostitution prevented the reporting of police abuse and misconduct. The UN special rapporteur on issues of torture has condemned discrimination against sexual minorities in detention, including sexual abuse and rape, and the lack of police accountability that surrounds these offenses.[321]

In March 2011, as part of its Universal Periodic Review before the UN Human Rights Council, the US accepted recommendation 86 of the Council report, stating, “We agree that no one should face discrimination in access to public services or violence based on sexual orientation or their status as a person in prostitution.”[322]This is the first public recognition by the US of its obligation to respect the human rights of sex workers. Unfortunately, the testimony of sex workers and transgender people in this report confirm that there is much work to be done before these human rights are realized.

Recommendations

New York

To the New York State Legislature

  • Enact legislation to prohibit the possession of condoms as evidence of prostitution and related offenses.
  • Reform or repeal New York Penal Law Section 240.37, the statute prohibiting loitering for the purposes of prostitution as incompatible with human rights and US constitutional standards.

New York City

To the New York City Council

  • Enact legislation to prohibit the possession of condoms as evidence of prostitution and related offenses.
  • Enact the Community Safety Act, legislation prohibiting and providing a remedy for profiling that disproportionately impacts individuals and communities based on race, sexual orientation, gender identity, and other prohibited grounds.

To the Mayor of New York City

  • Support legislation to prohibit the use of condoms as evidence of prostitution and related offenses.
  • Issue an executive order prohibiting the use of condoms as evidence of prostitution and related offenses by the New York City Police Department.
  • Provide the necessary policy, oversight, and disciplinary action to ensure that the New York City Police Department’s interactions with sex workers, transgender persons, and LGBT youth in New York City comply with human rights and US constitutional standards and are conducted with respect and professionalism.

To the New York City Police Department

  • Immediately cease using the possession of condoms as evidence to arrest, question, or detain persons suspected of sex work, or to support prosecution of prostitution and related offenses. Issue a directive to all officers emphasizing the public health importance of condoms for HIV prevention and sexual and reproductive health. Ensure that officers are regularly trained on this protocol and held accountable for any transgressions.
  • Support legislation to prohibit the possession of condoms as evidence of prostitution and related offenses.
  • Adopt policies, guidelines, and enforcement mechanisms to ensure that interactions with sex workers, transgender persons, and LGBT youth comply with human rights and US constitutional standards and are conducted with respect and professionalism.
  • Adopt policies, guidelines, and enforcement mechanisms to ensure that all stops, searches, and frisks of individuals comply with human rights and US constitutional standards.

To the District Attorneys for the City of New York

  • Immediately cease using the possession of condoms as evidence to prosecute prostitution and related offenses.
  • Support legislation to prohibit the use of condoms as evidence of prostitution and related offenses.

To the New York Department of Health and Mental Hygiene

  • Support legislation to prohibit the possession of condoms as evidence of prostitution and related offenses.
  • Call upon the New York City Police Department (NYPD) to immediately cease using the possession of condoms as evidence to arrest, question, or detain persons suspected of sex work, or to support prosecution of prostitution and related offenses. Conduct trainings and engage in other collaborative efforts with the NYPD emphasizing the public health importance of condoms for HIV prevention and sexual and reproductive health.

Washington, DC

To the Council of the District of Columbia

  • Enact legislation to prohibit the possession of condoms as evidence of prostitution and related offenses.
  • Reform or repeal anti-prostitution statutes that are vague, overbroad, and that invite discrimination and arbitrary arrest as incompatible with human rights and US constitutional standards.

To the Mayor of Washington, DC

  • Support legislation to prohibit the possession of condoms as evidence of prostitution and related offenses.
  • Issue an executive order prohibiting the possession of condoms as evidence of prostitution and related offenses by the Metropolitan Police Department.
  • Support reform or repeal of anti-prostitution statutes that are vague, overbroad and that invite discrimination and arbitrary arrest as incompatible with human rights and US Constitutional standards.
  • Provide the necessary policy, oversight, and disciplinary action to ensure that the Metropolitan Police Department’s interactions with sex workers and transgender persons in Washington, DC comply with human rights and US constitutional standards and are conducted with respect and professionalism.

To the Metropolitan Police Department

  • Immediately cease using the possession of condoms as evidence to arrest, question, or detain persons suspected of sex work, or to support prosecution of prostitution and related offenses. Issue a directive to all officers emphasizing the public health importance of condoms for HIV prevention and sexual and reproductive health. Ensure that officers are regularly trained on this protocol and held accountable for any transgressions.
  • Adopt policies, guidelines, and enforcement mechanisms to ensure that interactions with sex workers and transgender persons comply with human rights and US constitutional standards and are conducted with respect and professionalism. Ensure compliance with MPD guidelines for interaction with transgender individuals, including those that prohibit profiling transgender persons as sex workers.
  • Adopt policies, guidelines, and enforcement mechanisms to ensure that all stops and searches of individuals comply with human rights and US constitutional standards.

To the Department of Health of the District of Columbia

  • Support legislation prohibiting the use of condoms as evidence of prostitution and related offenses.
  • Call upon the Metropolitan Police Department (MPD) to immediately cease using the possession of condoms as evidence to arrest, question, or detain persons suspected of sex work, or to support prosecution of prostitution and related offenses. Conduct trainings and engage in other collaborative efforts with the MPD emphasizing the public health importance of condoms for HIV prevention and sexual and reproductive health.

California

To the California State Legislature

  • Enact legislation to prohibit possession of condoms as evidence of prostitution and related offenses.
  • Repeal California Penal Code Section 1202.6 mandating HIV testing for all persons convicted of prostitution and California Penal Code Section 647f providing for enhanced penalties for persons convicted of a second prostitution offense while HIV-positive as discriminatory, unnecessary, and incompatible with human rights and US constitutional standards.
  • Reform or repeal California Penal Code Section 653.22, the statute prohibiting loitering with intent to commit prostitution, as incompatible with human rights and US constitutional standards.

To the California Alcoholic Beverage Control Board

  • Immediately cease using the possession of condoms as evidence to arrest, question, or detain persons suspected of sex work, or to support prosecution of prostitution and related offenses. Issue a directive to all officers emphasizing the public health importance of condoms for HIV prevention and sexual and reproductive health. Ensure that officers are regularly trained on this protocol and held accountable for any transgressions.

Los Angeles

To the Los Angeles City Council

  • Enact legislation to prohibit the possession of condoms as evidence of prostitution and related offenses.

To the Mayor of Los Angeles

  • Support legislation prohibiting the possession of condoms as evidence of prostitution and related offenses.
  • Issue an executive order prohibiting the possession of condoms as evidence of prostitution and related offenses by the Los Angeles Police Department.
  • Provide the necessary policy, oversight, and disciplinary action to ensure that the Los Angeles Police Department’s interactions with sex workers and transgender persons in Los Angeles comply with human rights and US constitutional standards and are conducted with respect and professionalism.

To the Los Angeles Police Department

  • Immediately cease using the possession of condoms as evidence to arrest, question, or detain persons suspected of sex work, or to support prosecution of prostitution and related offenses. Issue a directive to all officers emphasizing the public health importance of condoms for HIV prevention and sexual and reproductive health. Ensure that officers are regularly trained on this protocol and held accountable for any transgressions.
  • Adopt policies, guidelines, and enforcement mechanisms to ensure that interactions with sex workers and transgender persons comply with human rights and US constitutional standards and are conducted with respect and professionalism. Ensure compliance with LAPD guidelines for interaction with transgender individuals, including those that prohibit profiling transgender persons as sex workers.
  • Adopt policies, guidelines, and enforcement mechanisms to ensure that all stops and searches of individuals comply with human rights and US constitutional standards.

To the City Attorney of Los Angeles

  • Immediately cease using the possession of condoms as evidence to prosecute prostitution and related offenses.
  • Support legislation prohibiting the possession of condoms as evidence of prostitution and related offenses.
  • Support repeal of California Penal Code Section 1202.6 mandating HIV testing for all persons convicted of prostitution and California Penal Code Section 647f providing for enhances penalties for persons convicted of a second prostitution offense while HIV-positive as discriminatory, unnecessary, and incompatible with human rights and US Constitutional standards.
  • Support reform or repeal of California Penal Code Section 653.22, the statute prohibiting loitering with intent to commit prostitution, as incompatible with human rights and US constitutional standards.

To the Los Angeles County Department of Public Health

  • Support legislation prohibiting the possession of condoms as evidence of prostitution and related offenses.
  • Call upon the Los Angeles Police Department (LAPD) to immediately cease using the possession of condoms as evidence to arrest, question, or detain persons suspected of sex work, or to support prosecution of prostitution and related offenses. Conduct trainings and engage in other collaborative efforts with the LAPD emphasizing the public health importance of condoms for HIV prevention and sexual and reproductive health.

San Francisco

To the Board of Supervisors of the City of San Francisco

  • Enact legislation to prohibit the possession of condoms as evidence of prostitution and related offenses.

To the Mayor of San Francisco

  • Support passage of legislation prohibiting the possession of condoms as evidence of prostitution and related offenses.
  • Issue an executive order prohibiting the possession of condoms as evidence of prostitution and related offenses by the San Francisco Police Department.

To the San Francisco Police Department

  • Immediately cease using the possession of condoms as evidence to arrest, question, or detain persons suspected of sex work, or to support prosecution of prostitution and related offenses, including photographing condoms for this purpose. Issue a directive to all officers emphasizing the public health importance of condoms for HIV prevention and sexual and reproductive health. Ensure that officers are regularly trained on this protocol and held accountable for any transgressions.

To the San Francisco District Attorney

  • Immediately cease using the possession of condoms as evidence to prosecute prostitution and related offenses.
  • Support legislation prohibiting the possession of condoms as evidence of prostitution and related offenses.
  • Support repeal of California Penal Code Section 1202.6 mandating HIV testing for all persons convicted of prostitution and California Penal Code Section 647f providing for enhanced penalties for persons convicted of a second prostitution offense while HIV-positive as discriminatory, unnecessary, and incompatible with human rights and US constitutional standards.
  • Support reform or repeal of California Penal Code Section 653.22, the statute prohibiting loitering with intent to commit prostitution, as incompatible with human rights and US constitutional standards.

To the San Francisco Department of Public Health

  • Support legislation prohibiting the possession of condoms as evidence of prostitution and related offenses.
  • Call upon the San Francisco Police Department (SFPD) to immediately cease using the possession of condoms as evidence to arrest, question, or detain persons suspected of sex work, or to support prosecution of prostitution and related offenses. Conduct trainings and engage in other collaborative efforts with the SFPD emphasizing the public health importance of condoms for HIV prevention and sexual and reproductive health.
  • Ensure that the work of the Environmental Health inspectors is coordinated with that of the HIV/STD Prevention unit on issues of HV prevention and the importance of promoting access to condoms in business establishments in San Francisco, including massage parlors, erotic dance establishments, and other venues.
  • Support the proposal of the HIV Prevention Planning Council for a city-wide ordinance mandating access to condoms and lubricant in all businesses that sell liquor in San Francisco.

To the United States Government

  • The Office of National AIDS Policy and the federal agencies charged with implementing the National AIDS Strategy should:
    • Recognize that human rights abuses are significant barriers to HIV prevention for sex workers, transgender women, LGBT youth, and other vulnerable groups and prioritize structural interventions to address those abuses;
    • Call upon states to prohibit the possession of condoms as evidence of prostitution and related offenses, and develop a plan to provide guidance, technical assistance, and model legislation to accomplish this objective;
    • Ensure the inclusion of sex workers and transgender women in the efforts of the Working Group on the Intersection of HIV/AIDS, Violence against Women and Girls, and Gender-related Health Disparities;
    • Ensure that HIV research and surveillance data adequately reflects the impact of HIV on sex workers and transgender women.
  • The Department of Justice should investigate the treatment of sex workers and transgender persons by police in New York City, Washington, DC, and Los Angeles and provide ongoing review, enforcement, and oversight to ensure that policies and practices comply with human rights and US constitutional standards.

To the United Nations

To the United Nations Committees on Human Rights, Economic, Social and Cultural Rights, and Racial Discrimination; the Working Group on Arbitrary Detention; the United Nations Special Rapporteurs on the Right to the Highest Attainable Standard of Health and Questions of Torture and Cruel, Inhuman, and Degrading Treatment or Punishment; and the United Nations Human Rights Council:

  • Call upon the United States to ensure that police and prosecutors cease using condoms as evidence of prostitution and related offenses.
  • Call upon the United States to reform or repeal overly broad loitering statutes that invite discrimination and punishment based on identity or status rather than criminal behavior.
  • Call upon the United States to protect the human rights of sex workers, transgender persons, and LGBT youth by police, both in and out of police custody.

Acknowledgements

This report was written by Megan McLemore, senior researcher for the Health and Human Rights Division. The research was conducted by a team from the Health and Human Rights Division that included advocacy director Rebecca Schleifer, research consultant Katherine Todrys, associate Alex Gertner, and intern Margaret Wurth. The report was reviewed at Human Rights Watch by Joseph Amon, director of the Health and Human Rights Division, Rebecca Schleifer, advocacy director for the Health and Human Rights Division, Katherine Todrys, research consultant, Antonio Ginatta, advocacy director for the US Program, Graeme Reed, director of the LGBT Program, Meghan Rhoad, researcher for the Women’s Rights Division, Dinah Pokempner, general counsel, and Babatunde Olugboji, deputy program director in the Program Office. Research assistance was provided by Aretha Chakraborti, Theresa Cheng, and Claire Gunner, interns in the Health and Human Rights Division. Production assistance was provided by Margaret Wurth, associate, Grace Choi, publications director, Kathy Mills, publications specialist, Ivy Shen, multimedia assistant, and Fitzroy Hepkins, administrative manager.

Human Rights Watch gratefully acknowledges the invaluable assistance of individuals and organizations in each of the four cities addressed in this report.

In New York City Human Rights Watch would like to thank Sienna Baskin at the Urban Justice Center’s Sex Workers Project, Rachel Thomas and Sara Hahn at the Open Society Foundation Sexual Health and Rights Project, Josh Saunders at Brooklyn Defender Services, Kate Mogulescu at the Legal Aid Society of New York, Andrea Ritchie at Streetwise and Safe, Socheatta Meng and Daniel Mullkoff at the NYCLU, Darius Charney at the Center for Constitutional Rights, Mito Miller, Lorena Borjas, Juan David Gastolomendo, the Latino Commission on AIDS, Lambda Legal, the New York City Anti-Violence Project, Lower East Side Harm Reduction Center, FROST'D, CitiWide Harm Reduction, the LGBT Center, Queens Pride House, the Positive Health Project, additional members of the PROS Network, and many others whose invaluable assistance supported this project.

In Los Angeles we gratefully acknowledge Bamby Salcedo at the Children’s Hospital Los Angeles, Victor Martínez, Roberto Melendez, Brenda del Rio Gonzalez, and Sandra Esqueda at Bienestar, Shirin Buckman and Karina Samala at the Transgender Working Group of the City of Los Angeles Human Relations Commission, Shayla Myers at Bet Tzedek Legal Services, Alessandra Moura at the Los Angeles Police Department, Laurie Aronoff, Joseph Weiner, the Transgender Service Provider Network (TSPN), and the Sex Workers Outreach Project of Los Angeles (SWOP-LA).

In San Francisco we gratefully acknowledge the staff of the St. James Infirmary, Carol Stuart, Dr. Jeffrey Klausner, the staff at Trans:Thrive, and Nadia Babella and Cecelia Chung at the San Francisco Human Rights Commission.

In Washington, DC we gratefully acknowledge the staff of Helping Individual Prostitutes Survive (HIPS), Darby Hickey, and Ruby Corado.

Most of all, Human Rights Watch thanks the courageous sex workers and transgender persons who shared their experiences for this report.

Appendix A.New York City Criminal Court Prostitution Complaint Form

Appendix B.Letter from the Latino Commission on AIDS to the NYPD

Appendix C. San Francisco Resolution Re: Condoms as Evidence of Prostitution

Appendix D. San Francisco Criminal Court Prostitution Complaint Form


[1] Though African-Americans constitute just 14 percent of the US population, 46 percent of people living with HIV are African-American, and 64 percent of new infections are among blacks or Latinos. US Centers for Disease Control and Prevention (CDC), “HIV/AIDS in the United States Fact Sheet,” http://www.cdc.gov/hiv/resources/factsheets/us.htm (accessed April 26, 2012).

[2] CDC, “Establishing a Holistic Framework to Reduce Inequities in HIV, Viral Hepatitis, STDs, and Tuberculosis in the United States,” 2010, http://www.cdc.gov/socialdeterminants/docs/SDH-White-Paper-2010.pdf (accessed July 7, 2012); CDC, “CDC Health Disparities and Inequalities Report-United States 2011,” Morbidity and Mortality Weekly Report, vol. 60, Supplement, January 14, 2011; Human Rights Watch, Rights At Risk: State Response to HIV in Mississippi, March 2011, http://www.hrw.org/reports/2011/03/09/rights-risk, p. 51 (outlining “environment of risk” for low-income persons in Mississippi).

[3] Hazel D. Dean and Kevin Fenton, “Addressing Social Determinants of Health in the Prevention and Control of HIV/AIDS, Viral Hepatitis, Sexually Transmitted Infections and Tuberculosis,” Public Health Reports, vol. 125, Supp.4 (2010), p.1.

[4] See, e.g. Human Rights Watch, Off the Streets: Arbitrary Detention and Other Abuses against Sex Workers in Cambodia, July 2010, http://www.hrw.org/sites/default/files/reports/cambodia0710webwcover_2.pdf; Human Rights Watch, Not Worth a Penny: Human Rights Abuses Against Transgender People in Honduras, May 2009, http://www.hrw.org/node/83449 .

[5] National Center for Transgender Equality and the National Gay and Lesbian Task Force, “Injustice At Every Turn: A Report of the National Transgender Discrimination Survey,” February 3, 2011, http://www.thetaskforce.org/reports_and_research/ntds (accessed May 21, 2012).

[6] Ibid.

[7] Urban Justice Center, “Revolving Door: An Analysis of Street-Based Prostitution in New York City,” 2003; Human Rights Watch, Off the Streets: Arbitrary Detention and Other Abuses against Sex Workers in Cambodia, July 2010, http://www.hrw.org/sites/default/files/reports/cambodia0710webwcover_2.pdf; National Center for Transgender Equality and the National Gay and Lesbian Task Force, “Injustice At Every Turn: A Report of the National Transgender Discrimination Survey;” Amnesty International, “Stonewalled: Police Abuse and Misconduct Against Lesbian, Gay, Bisexual and Transgender people in the United States,” AI Index No.: AMR 51/122/2005, September 21, 2005.

[8] US Department of Homeland Security, Written Testimony of US Immigration and Customs Enforcement (ICE) Director John Morton for a House Committee on Appropriations, Subcommittee on Homeland Security Hearing on the President’s Fiscal Year 2013 Budget Request for ICE, March 8, 2012, http://www.dhs.gov/ynews/testimony/20120308-ice-fy13-budget-request-hac.shtm (accessed May 11, 2012).

[9] Immigration and Nationality Act of 1952, as amended,(INA), secs. 212 and 237.

[10] INA, sec. 212.

[11] INA, sec. 212 (a) (2) ( D ) (i).

[12] INA, sec. 236 (c).

[13] See, e.g. United Nations Population Fund (UNFPA), World Health Organization (WHO), and Joint United Nations Programme on HIV/AIDS (UNAIDS), “Position Statement on Condoms and HIV Prevention,” March 18, 2009, http://www.who.int/hiv/pub/condoms/20090318_position_condoms.pdf (accessed July 7, 2012); CDC, “Male Latex Condoms and Sexually Transmitted Diseases,” http://www.cdc.gov/condomeffectiveness/latex.htm (accessed April 26, 2012); US National Institute of Allergy and Infectious Diseases, “Workshop Summary,” July 2001, p. 14.

[14] International Harm Reduction Association, “Global State of Harm Reduction 2010,” April 2010; United Nations Office on Drugs and Crime (UNODC), “HIV/AIDS Prevention, Care, Treatment and Support in Prison Settings: A Framework for an Effective National Response,” October 2006.

[15] John P. May and Ernest Williams, “Acceptability of Condom Availability in a US Jail,” AIDS Education and Prevention, vol. 14, supp. B; Mary Sylla et al., “The First Condom Machine in a US Jail: the Challenge of Harm Reduction in a Law and Order Environment,” 100 American Journal of Public Health, vol. 100, no. 6, June 2010, pp. 982-985; Arleen A. Liebowitz et al., “Condom Distribution in Jail to Prevent HIV Infection,” AIDS Behavior, May 4, 2012; AIDS Foundation of Chicago, “Condom Distribution in US Correctional Facilities and Canada,” Fact Sheet 2011.

[16] Nevada permits counties to regulate sex work in licensed brothels. See Nevada Revised Statutes, sec. 244.345. Nevada law mandates that sex workers require patrons to wear condoms in all licensed sites of prostitution. See Nevada Revised Statutes, sec. 441A.805. Prostitution is also a federal crime, including when committed outside of US borders. See Transportationfor Illegal Sexual Activity Act, 18 USC. secs. 2421-2428. For a summary of state and federal anti-prostitution laws, their enforcement, and implications for human rights, see Alice M. Miller, Mindy J. Roseman, and Corey Friedman, Sexual Health and Human Rights: United States and Canada, Working Paper for the World Health Organization, 2010.

[17] International Harm Reduction Association, "Global State of Harm Reduction,” 2010; British Columbia Ministry of Health Services, “Insite Supervised Injection Site,” http://supervisedinjection.vch.ca/ (accessed May 11, 2012); North American Syringe Exchange Network, Syringe Exchange Program Database, http://www.nasen.org/programs/ (accessed May 22, 2012).                                                                                             

[18] New York City Department of Health and Mental Hygiene (DOHMH), “HIV/AIDS Information,” http://www.nyc.gov/html/doh/html/ah/ah.shtml (accessed April 10, 2012); New York City Department of Health and Mental Hygiene, New York City HIV/AIDS Surveillance Slide Sets, March 2012, http://www.nyc.gov/html/doh/html/dires/epi_surveillance.shtml (accessed April 10, 2012).

[19] New York City Department of Health and Mental Hygiene, “HIV/AIDS Among Youth and Older Adults 2006-2010,” New York City HIV/AIDS Surveillance Slide Sets, March 2012, http://www.nyc.gov/html/doh/html/dires/epi_surveillance.shtml (accessed April 10, 2012).

[20] New York City Department of Health and Mental Hygiene, “HIV/AIDS Among Transgender Persons in New York City 2006-2010,” New York City HIV/AIDS Surveillance Slide Sets, March 2012, http://www.nyc.gov/html/doh/html/dires/epi_surveillance.shtml (accessed April 10, 2012). HIV surveillance among transgender persons remains incomplete due to lack of reliable data concerning the size of transgender populations and collection methods that have not consistently identified transgender persons as a separate population. The CDC recently issued new guidelines for data collection among transgender persons intended to improve completeness and accuracy of HIV surveillance in the US for this population: CDC, Guidance for HIV Surveillance Programs: Working With Transgender –Specific Data, 2012.

[21] Samuel M. Jenness et al., “Patterns of Exchange Sex and HIV Infection in High-Risk Heterosexual Men and Women,” Journal of Urban Health, vol. 88, no. 2 (2011), pp. 329-341. Jenness stated, “commercial sex work is a sub-category of exchange or transactional sex, defined as the trading of sex for material goods,” p. 329.

[22] Ibid, p. 338.

[23] New York City Department of Health and Mental Hygiene, New York City HIV/AIDS Surveillance Slide Sets, March 2012.

[24] New York City Department of Health and Mental Hygiene, “New York City Condoms,” http://www.nyc.gov/html/doh/html/condoms/condoms.shtml (accessed April 11, 2012.)

[25] New York City Department of Health and Mental Hygiene,
Health Bulletin, vol. 6, no. 1, http://www.nyc.gov/html/doh/html/hb/dohmhnews6-01.shtml (accessed April 11, 2012).

[26] New York Penal Law, sec. 230.00 et seq.

[27] New York Penal Law, sec. 240.37.                                                                                                                                                     

[28] New York Penal Law, secs. 230.02-06.

[29] New York Penal Law, sec. 230.15 et seq.

[30] New York Penal Law, sec. 230.34.

[31] New York Department of Criminal Justice Statistics, “Prostitution-Related Arrests in New York City,” through November 22, 2011.

[32] Ibid.

[33] Human Rights Watch interview with Kate Mogulescu, Legal Aid Society, New York City, November 2, 2011.

[34] New York Department of Criminal Justice Statistics, “Prostitution-Related Arrests in New York City,” through November 22, 2011.

[35] Human Rights Watch interviews with Kate Mogulescu, Legal Aid Society, New York City, August 30, 2011 and November 2, 2011.

[36] Trial Transcript, People of the State of New York v. (redacted), Criminal Court of the City of New York, June 22, 2010, on file with Human Rights Watch.

[37] New York Penal Law, sec. 240.37.

[38] People v. Smith, New York Court of Appeals, 44 NY 2d 613 (1978).

[39] Ibid.

[40] New York Police Department (NYPD) Patrol Guide, secs. 208-44 and 208-45.

[41] International Covenant on Civil and Political Rights (ICCPR), adopted December 16, 1966, G.A. Res. 2200A (XXI), 21 U.N. GAOR Supp. (No. 16) at 52, U.N. Doc. A/6316 (1966), 999 U.N.T.S. 171, entered into force March 23, 1976. See arts. 2, 9, 21.

[42] Terry v. Ohio, United States Supreme Court, 392 US 1 (1968); People v. Debour, New York Court of Appeals, 40 NY 2d 210 (1976).

[43] Virginia v. Moore, United States Supreme Court, 553 US 164 (2008); People v. Cooper, New York Court of Appeals, 241 AD 2d 553 (1997).

[44] Human Rights Watch interviews with Kate Mogulescu, Legal Aid Society, New York City, August 30, 2011 and November 2, 2011.

[45] Human Rights Watch interview with Tanya B., New York City, December 9, 2011. Pseudonyms are used in this report for the sex workers interviewed, in order to protect confidentiality.

[46] Human Rights Watch interview with Pam G., New York City, March 19, 2012.

[47] Human Rights Watch interview with Alysha S., New York City, March 23, 2012.                                                                              

[48] Human Rights Watch interview with Sienna Baskin, Urban Justice Center, New York City, November 2, 2011.

[49] Human Rights Watch interview with Lynn A., New York City, February 21, 2012.

[50] Human Rights Watch interview with Lola N., New York City, March 23, 2012.

[51] Human Rights Watch interview with Alexa L., New York City, December 9, 2011.

[52] Human Rights Watch interview with Selena T., New York City, December 9, 2011.

[53] Human Rights Watch interview with Yanira C., New York City, December 9, 2011.

[54] Human Rights Watch interview with Mona M., New York City, February 9, 2012. Two transgender women of color successfully challenged their arrests for loitering for the purposes of prostitution in New York City in 2008 (Lamot v. City of New York et al., District Court of Southern District of New York, 08cv5300 (SDNY)) and 2011 (Combs v. City of New York et al., District Court of Southern District of New York, 11cv3831 (SDNY)) but for the most part this type of police profiling occurs with impunity.

[55] Human Rights Watch interview with Juan David Gastolomendo, Latino Commission on AIDS, Queens, New York, November 23, 2011.

[56] Human Rights Watch interview with Anna E., New York City, March 22, 2012.

[57] Human Rights Watch interview with Mona M., New York City, February 9, 2012.

[58] Human Rights Watch interview with Juan David Gastolomendo, Latino Commission on AIDS, New York City, November 23, 2011.

[59] Human Rights Watch telephone interviews with Josh Saunders, Brooklyn Defender Services, New York City, November 11, 2011 and Kate Mogulescu, Legal Aid Society, New York City, December 29, 2011.

[60] Human Rights Watch interview with Barbie M., New York City, January 31, 2012.

[61] Julia Preston, “Despite Opposition, Immigration Agency to Expand Fingerprint Program,” New York Times, May 11, 2012; Immigration and Customs Enforcement Agency, “Secure Communities Program,” http://www.ice.gov/secure_communities/ (accessed May 27, 2012).

[62] Human Rights Watch interview with Juan David Gastolomendo, Latino Commission on AIDS, Queens, New York, November 23, 2011. Human Rights Watch has documented high rates of violence against transgender people in Honduras, South Africa, Kuwait and other countries, see, e.g. Human Rights Watch, Not Worth A Penny: Human Rights Abuses Against Transgender People in Honduras, May 2009, http://www.hrw.org/en/reports/2009/05/29/not-worth-penny-0.

[63] Human Rights Watch interview with Anna E., New York City, March 22, 2012.

[64] Human Rights Watch interview with Nola B., New York City, December 9, 2011.

[65] Human Rights Watch interview with Jonathan Marrero, CitiWide Harm Reduction, New York City, March 23, 2012.

[66] Human Rights Watch interview with Lorena Borjas, Senior Outreach Worker, Latino Commission on AIDS, Manhattan, New York, March 22, 2012.

[67] Human Rights Watch interview with Mito Miller, PROS Network, New York City, February 16, 2012.

[68] Human Rights Watch interview with Alexa L., New York City, December 9, 2011.                                 

[69] Human Rights Watch interview with Tanya B., New York City, December 9, 2011.

[70] Human Rights Watch interview with Anastasia L., New York City, March 22, 2012.

[71] Human Rights Watch interview with Victoria D., New York City, January 20, 2012.

[72] Human Rights Watch interview with Alexa L., New York City, December 9, 2011.

[73] Human Rights Watch interview with Tara A., New York City, February 9, 2012.

[74] Human Rights Watch interview with Brenda D., New York City, February 21, 2012.

[75] Human Rights Watch interview with Valerie S., New York City, February 21, 2012.

[76] Human Rights Watch interview with Mona M., New York City, February 9, 2012.

[77] Human Rights Watch interview with Anna E., New York City, March 22, 2012.

[78] Amnesty International, “Stonewalled: Police Abuse and Misconduct Against Lesbian, Gay, Bisexual and Transgender people in the United States,” AI Index No.: AMR 51/122/2005, September 21, 2005; Joey Mogul, Andrea Ritchie, and Kay Whitlock, Queer (In)justice: the Criminalization of LGBT People in the United States (Boston: Beacon Press, 2012). 

[79] “Speaker Christine C. Quinn, NYPD Commissioner Kelly, Council Members and Advocates Celebrate Patrol Guide Reforms to Protect Transgender New Yorkers,” New York City Council press release, June 12, 2012, http://council.nyc.gov/html/releases/061312trans.shtml (accessed June 21, 2012).

[80] New York City Department of Health and Mental Hygiene, “HIV/AIDS Among Men Who Have Sex with Men in New York City 2010,” New York City HIV/AIDS Surveillance Slide Sets, March 2012, http://www.nyc.gov/html/doh/html/dires/epi_surveillance.shtml (accessed April 10, 2012).

[81] New York City Department of Health and Mental Hygiene, “HIV/AIDS Among Youth 12-29 and Older Adults (50 and over) in New York City 2006-2010,” New York City HIV/AIDS Surveillance Slide Sets, March 2012, http://www.nyc.gov/html/doh/html/dires/epi_surveillance.shtml (accessed April 10, 2012).

[82] National Gay and Lesbian Task Force, “Lesbian, Gay, Bisexual and Transgender Youth: An Epidemic of Homelessness,” 2006, http://www.thetaskforce.org/downloads/HomelessYouth.pdf (accessed July 7, 2012).

[83] Streetwise and Safe, “Memorandum in Support of Bill Number A-1008 and S-323,” submitted to the New York State Legislature March 2012, http://www.streetwiseandsafe.org/wp-content/uploads/2011/01/SAS-legislative-memo-FINAL.pdf (accessed April 26, 2012).

[84] Human Rights Watch interview with Renee R., Lower East Side Harm Reduction Center, New York City, February 2012.

[85] Human Rights Watch interview with Sharon Stapel, executive director, Anti-Violence Project, March 12, 2012.

[86] Human Rights Watch email correspondence with Andrea Ritchie, May 27, 2012.

[87] New York City Department of Health and Mental Hygiene, “A Report to the New York City Commissioner of Health” prepared by Paul Kobrak, December 8, 2010 (on file with Human Rights Watch).

[88] New York City Department of Health and Mental Hygiene, “Enhanced Comprehensive HIV Prevention Plan PS-10-10181,” March 15, 2011, pp. 21-24.

[89] Jim Dwyer, “Giving Away, and then Seizing Condoms,” New York Times, April 24, 2012.

[90] PROS Network and Urban Justice Center Sex Workers Project, “Public Health Crisis: the Impact of Using Condoms As Evidence in New York City,” April 2012, http://sexworkersproject.org/downloads/2012/20120417-public-health-crisis.pdf (accessed June 19, 2012).

[91] Human Rights Watch telephone communication with Cesar Bonila, administrative sergeant, New York City Police Commissioner’s Office, April 19, 2012.

[92] Letter from Human Rights Watch to Commissioner Thomas Farley, New York City Department of Health and Mental Hygiene, May 1, 2012, detailing repeated requests for an interview with representatives of the NYCDOHMH, including email and telephone communications March 28, and April 3, 9 ,11, and 13, 2012, on file with Human Rights Watch.

[93] Email communication to Human Rights Watch from Anthony J. Girese, counsel to the Bronx District Attorney, April 24, 2012.

[94] Freeman Klopott, “Prostitutes Push for N.Y. Law Banning Condoms as Evidence of Prostitution,” Bloomberg News,
April 17, 2012.

[95] Human Rights Watch interview with Lois Raff, Counsel to the Queens District Attorney, New York City, March 27, 2012.

[96] Ibid.

[97] Ibid.

[98] Human Rights Watch interview with Lois Raff, Counsel to the Queens District Attorney and Anthony Communiello, Chief of the Special Proceedings Bureau, Queens District Attorney, New York City, March 27, 2012.

[99] Terry v. Ohio, United States Supreme Court, 392 US 1 (1968); People v. Debour, New York Court of Appeals, 40 NY 2d 210 (1076); New York Criminal Procedure Law, sec. 140.50.

[100] Floyd et al v. City of New York, District Court of Southern District of New York, 08 Civ. 01034 (SAS).

[101] Report of Jeffrey Fagan, Ph.D., filed October 15, 2010 in the case of Floyd v. City of New York.

[102] See, e.g. NYPD Operations Order dated October 17, 2011, attached as Exhibit 12 to the Declaration of Darius Charney filed in opposition to defendants’ motion for summary judgment in Floyd v. City of New York. Al Baker, “Bronx Police Precinct Accused of Using Quota System,” New York Times, February 23, 2012; Michael Powell, “No Room for Dissent in a Police Department Consumed by the Numbers,” New York Times, May 7, 2012.

[103] New York Civil Liberties Union Stop and Frisk database, http://www.nyclu.org/content/stop-and-frisk-database (accessed May 7, 2012).

[104] District of Columbia Department of Health, “HIV/AIDS, Hepatitis, STD and TB Administration (HAHSTA) Annual Report,” 2010.

[105] Kaiser Family Foundation, “US HIV/AIDS Policy Fact Sheet,” December 2011; H. Irene Hall, et al., “Epidemiology of HIV Infection in Large Urban Areas of the United States,” PLo S One, vol. 5, no. 9, 2010, Table 1.

[106] US Census Bureau Quick Facts “District of Columbia” 2010.

[107] District of Columbia HIV/AIDS, Hepatitis, STD and TB (HAHSTA) Annual Report 2010.

[108] Ibid.

[109] DC Appleseed, “HIV/AIDS in the Nation’s Capital: Improving the District of Columbia’s Response to a Public Health Crisis,” August 2005.

[110] E. Weil-Greenberg, “District AIDS Strategy Slammed By Two Groups,” Washington Blade, August 12, 2005.

[111] DC Appleseed, “HIV/AIDS in the Nation’s Capital, Report Card No. 6: October 2009 to February 2011”; District of Columbia HIV/AIDS, Hepatitis, STD and TB (HAHSTA) Annual Report 2010.

[112] “Mayor Gray Announces Commission on HIV and AIDS,” Office of the Mayor press release, February 25, 2011.

[113] DC Appleseed, “HIV/AIDS in the Nation’s Capital, Report Card No. 6,” p. 3.

[114] District of Columbia Department of Health, “Join the Rubber Revolution,” http://www.rubberrevolutiondc.com/ (accessed April 20, 2012).

[115] District of Columbia Official Code, secs. 22-2701 and 2701.01. Related offenses include pandering (District of Columbia Official Code, Sec. 22-2705); receiving money for arranging prostitution (District of Columbia Official Code, sec. 22-2707); operating a house of prostitution (District of Columbia Official Code, sec. 22-2712) and others.

[116] District of Columbia Official Code, sec. 22-2701.

[117] District of Columbia Official Code, sec. 22-2731.

[118] Ibid.

[119] Ibid.

[120] Ibid.

[121] See, e.g. Testimony of Stephen M. Block of the American Civil Liberties Union (ACLU), “Omnibus Public Safety Act of 2005” presented at Council hearing June 20, 2005.

[122] Testimony of Ariel Levinson-Waldman, senior counsel to the Attorney General for the District of Columbia, before the Committee on the Judiciary, January 24, 2012; Testimony of Fritz Mulhauser, director of ACLU of Washington, DC, before the Committee on the Judiciary, January 24, 2012.

[123] Alliance for a Safe and Diverse DC, “Move Along: Policing Sex Work in Washington, DC,” p. 21; District of Columbia Official Code, sec. 2-1401.01.

[124] Metropolitan Police Department, General Order 501-02 October 2007, IV (d).

[125] Prostitution Free Zone Amendment Act of 2011, Bill 19-567, Council of the District of Columbia.

[126] Information provided by MPD to Human Rights Watch, April 12, 2012.

[127] Written testimony of MPD Assistant Chief of Police Peter Newsham, January 24, 2012, Committee on the Judiciary, DC Council.

[128] Oral testimony of MPD Assistant Chief of Police Peter Newsham, January 24, 2012, Committee on the Judiciary, DC Council.

[129] Written testimony of Ariel Levinson-Waldman, senior counsel to the Attorney General for the District of Columbia, Committee on the Judiciary, DC Council, January 24, 2012.

[130] A legislative history of the Prostitution Free Zone Amendment Act of 2011 is available at: http://www.dccouncil.washington.dc.us/legislation/prostitution-free-zone-amendment-act-of-2011 (accessed July 7, 2012).

[131] Terry v. Ohio, United States Supreme Court, 392 US 1 (1968); New York v. Belton, United States Supreme Court, 453 US 454 (1981); United States v. Christian, United States Court of Appeals, 187 F.3d 663 (DC Circuit, 1999).

[132] Human Rights Watch interview with Annie T., Washington, DC November 17, 2011.

[133] Human Rights Watch interview with Cassandra A., Washington, DC, November 17, 2011.

[134] Human Rights Watch interview with Lee H., Washington, DC, November 17, 2011.

[135] Human Rights Watch interview with Zinnia F., Washington, DC, January 27, 2012.

[136] Human Rights Watch interview with Felicia C., Washington, DC, January 27, 2012.

[137] Human Rights Watch interview with Jenna Mellor, HIPS, Washington, DC, November 17, 2011.

[138] Human Rights Watch interview with Jenna Mellor, HIPS, Washington, DC, November 17, 2011.

[139] Human Rights Watch interview with Monica B., Washington, DC, January 26, 2012.

[140] Human Rights Watch interview with Lina C., Washington, DC, January 26, 2012.

[141] Human Rights Watch interview with Nila R., Washington, DC. January 26, 2012.

[142] Human Rights Watch interview with Madison M., Washington, DC, January 27, 2012.

[143] Human Rights Watch interview with Jody B., Washington, DC, January 26, 2012.

[144] Human Rights Watch interview with Lina C., Washington, DC, January 26, 2012.

[145] Human Rights Watch interview with Monica B., Washington, DC, January 26, 2012.

[146] Human Rights Watch telephone interview with Assistant Chief of Police Peter Newsham, Metropolitan Police Department, Washington, DC, March 30, 2012.

[147] Ibid.

[148] Ibid.

[149] Human Rights Watch interview with Judge Linda Kay Davis, Superior Court of the District of Columbia, Washington, DC, November 16, 2011.

[150] Human Rights Watch telephone interview with William Miller, public information officer for the US Attorney for the District of Columbia, Washington, DC, April 24, 2012.

[151] Human Rights Watch telephone interview with Nestor Rocha and Michael Kharfen, Washington, DC Department of Health, April 12, 2012; Human Rights Watch email communication with Cyndee Clay, HIPS, April 10, 2012.

[152]US Census Bureau, “State & County QuickFacts: Los Angeles County, California,” 2011, http://quickfacts.census.gov/qfd/states/06/06037.html (accessed July 7, 2012).

[153] Los Angeles County Department of Public Health (LADPH), “Enhanced Comprehensive HIV Prevention Planning (ECHPP) Report,” 2011, http://publichealth.lacounty.gov/aids/PPC/ECHPP/ECHPPExecutiveSummary.pdf (accessed May 20, 2012.)

[154]Los Angeles County Department of Public Health (LADPH), “2011 Annual HIV Surveillance Report,” February 2012, p.1.

[155] Ibid.

[156] Ibid.

[157] Los Angeles County Department of Public Health (LADPH), “HIV Prevention Plan 2009-2013,” undated, p. 47, http://publichealth.lacounty.gov/aids/PreventionPlan.htm (accessed July 7, 2012).

[158] LADPH, “2011 Annual HIV Surveillance Report,” p. 17.

[159] Cathy J. Reback, et al., “Los Angeles Transgender Health Study: Community Report,” May 2001.

[160] Ibid.

[161] Ibid.

[162] Los Angeles County Department of Public Health, “HIV Prevention Plan 2009-2013,” pp. 4-15.

[163] CDC, “Enhanced Comprehensive HIV Prevention Planning (ECHPP) Program,” 2011, http://www.cdc.gov/hiv/strategy/echpp/index.htm (accessed May 2, 2012); LADPH, “Los Angeles ECHPP,” 2011, http://publichealth.lacounty.gov/aids/echpp.htm (accessed May 2, 2012.)

[164] LADPH, “Los Angeles ECHPP,” http://publichealth.lacounty.gov/aids/echpp.htm (accessed May 11, 2012).

[165] Notice number 3.3.1 from William Bratton, chief of police, Los Angeles Police Department, to all department employees, July 8, 2005.

[166] Amnesty International, “ Stonewalled: Police Abuse and Misconduct Against Lesbian, Gay, Bisexual and Transgender People in the United State ,” AI Index No.: AMR 51/122/2005, September 21, 2005

[167] Joey L. Mogul, Andrea J. Ritchie and Kay Whitlock, Queer (In)Justice: the Criminalization of LGBT People in the United States, (Boston: Beacon Press, 2012).

[168] Bienestar, “Interactions of Latina Transgender Individuals with Law Enforcement,” April 2012.

[169] Ibid.

[170] Notice number 1.12 from Charlie Beck, chief of police, Los Angeles Police Department, to all department personnel, (undated) http://learningtrans.files.wordpress.com/2012/04/lapd-transgender-policies.pdf (accessed May 11, 2012.)

[171] Ibid., p. 2.

[172] Transgender Task Force, “Los Angeles County HIV Prevention Planning Committee Transgender Task Force Recommendations,” October 21, 2009.

[173]City of Los Angeles Human Resources Commission, “Recommended Model Policies and Standards for the LAPD’s Interactions with Transgender Individuals,” July 2010.

[174] “LAPD to House Transgender Arrestees in Separate Section,” Los Angeles Times Newsblog, April 12, 2012, http://latimesblogs.latimes.com/lanow/2012/04/lapd-jail-transgender.html (accessed May 11, 2012).

[175] Los Angeles Police Department, “Statistical Digest 2010,” 2011, pp. 3.2., 4.2.

[176] California Penal Code, sec. 647(b).

[177] California Penal Code, sec. 653.22.

[178] California Penal Code, sec. 1202.6.

[179] California Penal Code, sec. 647f and sec. 1170(h).

[180] Ibid.; California Penal Code, sec. 647(b).

[181] People v. Hall, California Court of Appeals, WL 2121912 (2007).

[182] Human Rights Watch interview with Lola L., Los Angeles, March 14, 2012.

[183] Human Rights Watch interview with Alessa N., Los Angeles, March 13, 2012.

[184] Human Rights Watch interview with Bamby Salcedo, Transgender Service Provider Network, Los Angeles, March 15, 2012.

[185] Human Rights Watch interview with Violet T., Los Angeles, March 15, 2012.

[186] Human Rights Watch interview with Jamie G., Los Angeles, March 15, 2012.

[187] Human Rights Watch interview with Lola L., Los Angeles, March 14, 2012.

[188] Human Rights Watch interview with Bella M., Los Angeles, March 14, 2012.

[189] Human Rights Watch interview with Marsha P., Los Angeles, March 13, 2012.

[190] Human Rights Watch interview with Bamby Salcedo, Los Angeles, March 15, 2012.

[191] Human Rights Watch interview with Shayla Meyers, LGBT Access to Justice Project, Los Angeles, March 15, 2012.

[192] Human Rights Watch email communication with Joseph Weiner, May 4, 2012.

[193] Human Rights Watch interview with Elaine A., Los Angeles, March 16, 2012.

[194] Human Rights Watch interview with Marsha P., Los Angeles, March 13, 2012.

[195] Human Rights Watch interview with Kathy B., Los Angeles, March 14, 2012.

[196] Human Rights Watch interview with Iris L., Los Angeles, March 13, 2012.

[197] Human Rights Watch interview with Carol F., March 15, 2012.

[198] Human Rights Watch interview with Serena L., Los Angeles, March 14, 2012.

[199] Human Rights Watch interview with Kathy B., Los Angeles, March 14, 2012.

[200] Human Rights Watch interview with Bamby Salcedo, Los Angeles, March 15, 2012.

[201] Human Rights Watch interview with Bamby Salcedo, Los Angeles, March 15, 2012.

[202] Human Rights Watch interview with Carol F., Los Angeles, March 15, 2012.

[203] Human Rights Watch telephone interview with Brenda del Rio Gonzalez, Los Angeles, July 2, 2012.

[204] Human Rights Watch telephone interview with Lt. Patrick Shields, LAPD, Los Angeles, May 2, 2012.

[205]Email communication to Human Rights Watch from Lt. Patrick Shields, LAPD, May 3, 2012.

[206]Ibid.

[207] Human Rights Watch telephone interview with Mary Claire Molidor, Los Angeles City Attorney’s Office, Los Angeles, May 17, 2012.

[208] Ibid.

[209]Email communication from Kyle Baker, Chief of Staff and Director of Government Relations, LADPH, to Human Rights Watch, May 8, 2012.

[210] CDC, “First Report of AIDS,” Morbidity and Mortality Weekly Report, vol. 50, no. 21, June 1, 2001; San Francisco Department of Public Health, “Historical Progression of the HIV/AIDS epidemic in San Francisco, 1981-2000,” undated, http://www.sfdph.org/dph/files/reports/RptsHIVAIDS/SFAtlasHIVAIDS19912000/web02progression.pdf (accessed April 23, 2012).

[211] See, Benjamin Shepard, White Nights and Ascending Shadows: A History of the San Francisco AIDS Epidemic (London: Cassell, 1997); San Francisco AIDS Foundation, “10 Moments that Changed History,” undated, http://www.sfaf.org/hiv-info/hot-topics/from-the-experts/10-moments-that-changed.html (accessed April 24, 2012).

[212] San Francisco Department of Public Health, “HIV/AIDS Epidemiology Annual Report 2010,” July 2011.

[213] Ibid.

[214] Ibid.

[215] Ibid.

[216] US Census Bureau, “State & County QuickFacts: San Francisco County, California,” 2011, http://quickfacts.census.gov/qfd/states/06/06075.html (accessed July 7, 2012).         

[217] San Francisco Department of Public Health, “HIV/AIDS Epidemiology Annual Report 2010”; “State & County QuickFacts: San Francisco County, California,” 2011.

[218] San Francisco Department of Public Health, “HIV/AIDS Epidemiology Annual Report 2010.”

[219] Ibid.

[220] Benjamin Shepard, White Nights and Ascending Shadows: A History of the San Francisco AIDS Epidemic (London: Cassell, 1997); Jane T. Bertrand, “Diffusion of Innovations and HIV/AIDS,” Journal of Health Communication, vol 9., suppl 1., (2004) pp. 113-121; US Department of Health and Human Services, “San Francisco’s New Approach to HIV Prevention,” blog.aids.gov, http://blog.aids.gov/2011/03/san-franciscos-new-approach-to-hiv-prevention.html (accessed April 24, 2012).

[221] Alexandra Lutnick, “The St. James Infirmary: A History,” undated, http://stjamesinfirmary.org/?page_id=3 (accessed July 7, 2012); Board of Supervisors of the City and County of San Francisco Task Force on Prostitution, “Final Report 1996,” http://www.aplehawaii.org/Resources_For_Prost_Law/Additional_Materials/SFTask_Force_Prost.pdf (accessed April 9, 2012); See also, Carol Leigh, “A First Hand Look at the San Francisco Task Force Report on Prostitution,” Hastings Law Journal vol. 10, (1999), pp. 59-90.

[222] California Penal Code, sec. 647(b).

[223] San Francisco Board of Supervisors, Resolution 548-94: Condoms as Evidence of Prostitution, June 20, 1994.

[224] Ibid.

[225] Letter from District Attorney Arlo Smith to Sandra Hernandez, director of public health, September 6, 1994, on file with the Human Rights Commission of the City of San Francisco.

[226] Board of Supervisors of the City and County of San Francisco Task Force on Prostitution, “Final Report 1996.”

[227] California Penal Code, sec. 653.22.

[228] California Penal Code, secs. 266h and 266i.

[229] Abt Associates Inc., “Final Report on the Evaluation of the First Offender Prostitution Program San Francisco,” March 2008.

[230] INA, secs. 237 and 212.

[231] Human Rights Watch telephone interview with Lt. Jason Fox, SFPD, April 4, 2012.

[232] Email response from Maureen Conefrey, Legal Department, LAPD regarding Human Rights Watch public records request March 8, 2012; Human Rights Watch telephone interview with Lt. Jason Fox, San Francisco Police Department, San Francisco, May 2, 2012.

[233] Data provided by LAPD in response to public records request March 8, 2012, on file with Human Rights Watch.

[234] Human Rights Watch telephone interview with Lt. Jason Fox, San Francisco Police Department, San Francisco, May 2, 2012; Jason Winchell, “Bay Area Agencies Improvise Tactics to Battle Trafficking,” San Francisco Public Press, February 15, 2012; Jason Winchell, “After Anti-trafficking Team Shifted Focus to Prostitution Arrests, Police Retool Investigations,” San Francisco Public Press, November 30, 2011.

[235] Human Rights Watch interview with Naomi Akers, St. James Infirmary, San Francisco, March 8, 2012.

[236] Human Rights Watch telephone interview with Cyd Nova, St. James Infirmary, San Francisco, March 14, 2012.

[237] Human Rights Watch telephone interview with Lt. Jason Fox, SFPD, San Francisco, April 4, 2012.

[238] Ibid.

[239] Human Rights Watch telephone interview with Kimberly Lutes-Koths, San Francisco Public Defender, San Francisco, May 3, 2012.

[240] Human Rights Watch interview with Jessi Ross, San Francisco, March 5, 2012.

[241] Human Rights Watch interview with Maryanne P., San Francisco, March 7, 2012.

[242] Human Rights Watch interviews at Transjustice Center, Trans:Thrive, and the Tri-City Health Project, March 6, 2012.

[243] Human Rights Watch telephone interview with Cyd Nova, peer counselor at St James Infirmary, San Francisco, March 14, 2012.

[244] California Penal Code, sec. 11225.

[245] California Penal Code, sec. 316.

[246]California Penal Code, sec. 315.

[247] California Business and Professions Code, secs. 24200 (a) (d) and (f).

[248] California State Constitution, a rt. 20 , sec. 22.

[249] Martin v. Alcoholic Beverage Control, 52 Cal. 2d. 238,240 (1959); Provigo Corp. v. Alcoholic Beverage Control, 7 Cal 4th 561 (1994).

[250] See, e.g. Nelson v. Alcoholic Beverage Control, 166 Cal. App. 2d. 783 (1969); Kirby v. ABC, 25 Cal. App. 3d 331 (1972); Coleman v. Alcoholic Beverage Control 71 Cal. App. 3d 336 (1977); Alcoholic Beverage Control v. Alcoholic Beverage Control Board and Renee Vicary, 99 Cal. App. 4th 880 (2002).

[251] California Code of Regulations, sec. 143.3

[252] See, e.g., Department of Alcoholic Beverage Control v. Alcoholic Beverage Appeals Board, 100 Cal. App. 4th 1094 (2002).

[253] Jones et al v. Déjà Vu Inc. et al., case number C-05-0997 BZ, (USDC SDCA), filed September 7, 2005; 419 F. Supp 1146 (2005).

[254] Jones et al v. Déjà Vu.

[255] Jones et al v. Déjà Vu .

[256] “Strip Club Outreach Report” to Naomi Akers, February 2009, on file with Human Rights Watch. Human Rights Watch was unable to reach owners or employees of Déjà Vu despite repeated attempts. Counsel for Déjà Vu at the time of the lawsuit had no comment. Human Rights Watch telephone interview with Linda Toutant, Los Angeles, April 27, 2012.

[257] Human Rights Watch interview with Jessi Ross, St. James Infirmary, San Francisco, March 5, 2012.

[258] Human Rights Watch telephone interview with Renee K., May 8, 2012.

[259] Berkey v. ABC, AB-8331 (June 20, 2005).

[260] Human Rights Watch telephone interview with Alexis Miranda, San Francisco, April 10, 2012.

[261] Ibid.

[262] Human Rights Watch interview with Naomi Akers, St. James Infirmary, March 8, 2012; Human Rights Watch interview with Jessi Ross, San Francisco, March 5, 2012.

[263] Human Rights Watch interview with Amanda R., San Francisco, March 7, 2012.

[264] San Francisco Health Code, art. 29, sec. 1929.

[265] California Penal Code, secs. 236, 237, and 266.

[266] California Alliance to Combat Trafficking and Slavery Task Force, “Human Trafficking in California: Final Report,” October 2007, p. 26; US Department of Homeland Security and US Department of Justice press releases, July 1, 2005, reproduced at http://calcasa.org/wp-content/uploads/2006/11/HT_Final_Report_ADA.pdf (accessed April 27, 2012).

[267] San Francisco Mayor’s Accountability Report, September 30, 2009, p. 181.

[268] Erin Sherbert, “Illegal Massage Parlors Skirting City Regulations” San Francisco Examiner, August 27, 2010.

[269] Marsha Ginsburg, “Alleged Code Violations at Three Massage Parlors,” San Francisco Chronicle, September 15, 2005.

[270] Human Rights Watch interview with Naomi Akers, St. James Infirmary, San Francisco, March 8, 2012.

[271] Human Rights Watch telephone interview with Lt. Jason Fox, SFPD, San Francisco, April 4, 2012.

[272] Ibid.

[273] Tooru Nemoto et al., “HIV Risk Among Asian Women Working at Massage Parlors in San Francisco,” AIDS Education and Prevention, vol. 16, no. 3, 2003, pp. 245-256.

[274] Human Rights Watch telephone interview with Kim Le, January 15, 2012; Human Rights Watch interview with Jessi Ross, San Francisco, March 8, 2012.

[275] Human Rights Watch interview with Dr. Jeffrey Klausner, San Francisco, March 8, 2012.

[276] Human Rights Watch telephone interview with Marshall Khine, Assistant District Attorney, San Francisco, April 13, 2012.

[277] Ibid. The Assistant District Attorney in charge of prosecuting misdemeanor prostitution cases failed to respond to Human Rights Watch’s repeated requests for an interview. Email and telephone communications with R. Breal, San Francisco District Attorney’s office, April 13 and 19, 2012.

[278] Human Rights Watch telephone interview with Lt. Jason Fox, SFPD, San Francisco, April 4, 2012.

[279] Email communication to Human Rights Watch from John Carr, information officer, California Department of Alcoholic Beverage Control, April 17, 2012.

[280] Human Rights Watch interview with Israel Nieves-Rivera, San Francisco Department of Health, San Francisco, March 8, 2012.

[281] San Francisco Department of Health, “HIV Prevention Plan 2010-2015,” 2010.

[282] Human Rights Watch telephone interview with Israel Nieves-Rivera, San Francisco Department of Health, San Francisco, May 8, 2012.

[283] Human Rights Watch interview with then Human Rights Commissioner Cecelia Chung, San Francisco, March 7, 2012.

[284] Universal Declaration on Human Rights, (UDHR) adopted December 10, 1948, G.A.Res. 217A(III), UN Doc A/810 at 71 (1948), preamble, arts. 1, 2, 3, 25.

[285] International Covenant on Civil and Political Rights (ICCPR), adopted December 16, 1966, G.A. Res. 2200A (XXI), 21 U.N. GAOR Supp. (No. 16) at 52, U.N. Doc. A/6316 (1966), 999 U.N.T.S. 171, entered into force March 23, 1976.

[286] UN Human Rights Committee, CCPR General Comment No. 6, art. 6, The Right to Life, April 30, 1982, para. 5.

[287] International Covenant on Economic, Social and Cultural Rights (ICESCR), adopted December 16, 1966, G.A. Res. 2200A (XXI), UN GAOR (no. 16) at 49, UN Doc. A/6316 (1966), 99 UNTS 3, entered into force January 3, 1976, signed by the US on October 5, 1977.

[288] Committee on Economic, Social and Cultural Rights, General Comment No. 14, The Right to the Highest Attainable Standard of Health, UN Doc. E/C.12/2000/4, adopted August 11, 2000, paras. 15, 16.

[289]ICESCR, General Comment 14, para. 16.

[290]ICESCR, General Comment 14, para 34.

[291]ICESCR, General Comment 14, para 33.

[292] ICESCR General Comment 14, paras. 18, 21, 43.

[293] Vienna Convention on the Law of Treaties (VCLT), adopted May 23, 1969, entered into force January 27, 1980, art. 18.

[294] Convention on the Elimination of All Forms of Discrimination Against Women, adopted December 18, 1979,G.A. res. 34/18034 UN GAOR Supp. No. 46 at 193,UN Doc. A/34/46,entered into force September 3, 1981, art. 16 (1) e.

[295] Joint United Nations Programme on HIV/AIDS (UNAIDS), “International Guidelines on HIV and Human Rights,” 2006, p. 5.

[296] United Nations Code of Conduct for Law Enforcement Officials, adopted December 17, 1979, G.A. res. 34/169, annex, 34 U.N. GAOR Supp. (No. 46) at 186, U.N. Doc. A/34/46 (1979), art. 1, para. (c).

[297] UNAIDS, “International Guidelines on HIV and Human Rights,” para. 21(c).

[298] Joint United Nations Programme on HIV/AIDS (UNAIDS), “Guidance Note on HIV and Sex Work,” 2009, p. 2.

[299] UNAIDS, “Guidance Note on HIV and Sex Work,” p. 12.

[300] ICCPR, art. 19.

[301] See, e.g. Federal Rule of Evidence 412, New York State Criminal Procedure Code 60.42, and California Evidence Code 782.

[302] See statement of NY State Representative Elizabeth Holtzman, sponsor of the Privacy Protection for Rape Victims Act of 1978, 124 Congressional Record 34, 913 (1978); Harriet Galvin, “Shielding Rape Victims in the State and Federal Courts: A Proposal for the Second Decade,” Minnesota Law Review, vol. 70, (1986), p. 763. For further discussion of the policy principles underlying the rape shield laws, see, C. Wright and K. Graham, Federal Practice and Procedure, Vol. 23, 5-381-393 and Joseph Biden, “Violence Against Women: the Congressional Response,” American Psychologist, vol. 48, no. 10 (1993), pp. 1059-61.

[303] Graham C. Lilley, An Introduction to the Law of Evidence, 3d Ed., (St Paul: West Publishing 1996), p. 438.

[304] Eisenstadt v. Baird, United States Supreme Court, 405 US 438 (1972).

[305] ICCPR, arts. 9, 26. “Sex” is increasingly understood to encompass gender and gender identity, see, e.g. Macy v. Holder, appeal number 0120120821, Agency Number ATF 2011-00751, April 20, 2012, a case in which the US Equal Employment Opportunity Commission held that failure to hire a transgender woman despite her qualifications violated Title VII of the Civil Rights Act of 1964.

[306] In New York City, loitering laws similar to the loitering for prostitution statute have been struck down by state and federal courts on due process grounds. In the case of People v. Uplinger, 460 NYS2d 514 (1983) the New York Court of Appeals struck down a statute prohibiting loitering for the purposes of engaging in lewd sexual conduct. In People v. Bright, 526 NYS2d 66 (1988) the New York Court of Appeals struck down a statute prohibiting loitering in a transit facility without sufficient explanation. In Loper v. New York City Police Department,999 F2d 699 (2d Cir. 1993), the federal court struck down a statute prohibiting loitering for the purpose of begging.

[307] International Covenant on Civil and Political Rights (ICCPR), adopted December 16, 1966, G.A. Res. 2200A (XXI), 21 U.N. GAOR Supp. (No. 16) at 52, U.N. Doc. A/6316 (1966), 999 U.N.T.S. 171, entered into force March 23, 1976. See arts. 2, 9, 21.

[308] Yogyakarta Principles on the application of International Human Rights Law in Relation to Sexual Orientation and Gender Identity, March 2007, Principle 7 (a).

[309] US Department of Justice, Civil Rights Division, “Investigation of New Orleans Police Department,” March 16, 2011, p. 10.

[310] US Department of Justice, “Investigation of New Orleans Police Department,” p. 9.

[311] California Penal Code, sec. 1202.6

[312] UNAIDS, “Guidance Note on HIV and Sex Work,” p. 8; Center for Advocacy on Stigma and Marginalization, “Rights-Based Sex Worker Empowerment Guidelines,” July 2008, p, 12.

[313] UNAIDS Global Reference Group on HIV/AIDS and Human Rights, “WHO/UNAIDS Policy Statement on HIV Testing,” June 2004.

[314] UNAIDS, “International Guidelines on HIV/AIDS and Human Rights,” 2006, p. 95.

[315] California Penal Code, sec. 647 f .

[316] Convention Against Torture and other Cruel Inhuman or Degrading Treatment or Punishment (CAT), adopted December 10, 1984, GA Res. 39/46, annex, 39 UN GAOR Supp. (no. 51) at 197, UN Doc. A/39/51 (1984) entered into force June 26, 1987, ratified by the US on October 15, 1994.

[317] Code of Conduct for Law Enforcement Officials, G.A. Res. 34/169, annex, 34 U.N. GAOR Supp. (no. 46) at 186, U.N. Doc. A/34/46 (1979), art. 2; Body of Principles for the Protection of All Persons Under any Form of Detention and Imprisonment, G.A. res. 43/173, annex, 43 U.N. GAOR Supp. (no. 49) at 298, U.N. Doc. A/43/49 (1988), prin. 1; United Nations Standard Minimum Rules for Treatment of Prisoners (Standard Minimum Rules) adopted by the First United nations Congress on the Prevention of Crime and the Treatment of Offenders, held at Geneva in 1955, and approved by the Economic and Social Council by its resolution 663 (XXIV) of July 31, 1957, and 2076 (LXII) of May 13, 1977, para. 26.

[318] Ibid.

[319] The UN special rapporteur on torture has stated that “rape and other forms of sexual assault in detention are a particularly despicable violation of the inherent dignity and right to physical integrity of every human being; and accordingly constitute an act of torture.” United Nations Special Rapporteur on Torture, Summary Record of the 21st Meeting, UN ESCOR, Commission on Human Rights, 48th Session, paragraph 35, UN Doc. E/CN.4/1992/SR.21 (1992).

[320] Report of the special rapporteur on the question of torture and other cruel, inhuman or degrading treatment or punishment, U.N. General Assembly, U.N. Doc. A/56/156, July 3, 2001, Section IIA (finding that fear of physical torture may constitute mental torture, and that serious and credible threats to the physical integrity of the victim or a third person can amount to cruel, inhuman or degrading treatment, or even to torture, especially when the victim is in the hands of law enforcement officials). In its 2006 recommendations for the United States, the Committee Against Torture expressed concern about reliable reports of sexual assault in detention “and that persons of differing sexual orientation are particularly vulnerable.” Conclusions and Recommendations: United States, CAT/C/USA/CO/2, para. 32, May 18 2006.

[321] Report of the Special Rapporteur on the Question of Torture and other Cruel, Inhuman and Degrading Treatment or Punishment, UN General Assembly E/CN.4/2002/76, December 27, 2001.

[322] US Department of State, “US Response to UN Human Rights Council Working Group Report,” March 10, 2011.